
Editor in chief:WANG Jian-Yu
International standard number:ISSN 1001-9014
Unified domestic issue:CN 31-1577
Domestic postal code:4-335
- Most Read
- Most Cited
- Most Downloaded
YE Zhen-Hua , LI Hui-Hao , LIU Ming , ZHAO Jun , LIN Chun , CHEN Jian-Xin
2026, 45(1):1-15. DOI: 10.11972/j.issn.1001-9014.2026.01.001
Abstract:Infrared detectors have been widely applied in aerospace reconnaissance, electro-optical countermeasures, and space science. Currently, it is undergoing a critical transition from the "full development of the third generation" to the "exploration of the fourth generation." Based on the pressing demands of current infrared detection applications, the preliminary definition and development considerations of the fourth-generation infrared detector was discussed. First, the developmental trajectory of infrared detectors was outlined. The evolution trend of the fourth-generation infrared detectors was explored from the perspectives of function integration, disciplinary advancement, and technology progression, and an initial definition for fourth-generation infrared detectors was proposed. Secondly, the preliminary contemplation on pivotal technological advancements for fourth-generation infrared detectors, encompassing the exploration of extreme detection performance, multidimensional light field information sensing, on-chip intelligence, and infrared microsystem chips, was delineated. Finally, an intelligent manufacturing ecosystem for infrared detectors was envisaged, which facilitates the transition of fourth-generation infrared detectors from conceptualization to practical application.
ZHANG Ji-Cheng , GUAN Wei-Wei , SUN Qiang-Jian
2026, 45(1):16-21. DOI: 10.11972/j.issn.1001-9014.2026.01.002
Abstract:The InGaAsP material with an energy bandgap of 1.05 eV was grown on InP substrate by all-solid-state Molecular Beam Epitaxy (MBE) technique. The material had no mismatch dislocations between the substrate and the epitaxial layer, and also exhibited high interface quality and luminescence quality. Based on InGaAsP material, single-junction InGaAsP solar cells were grown on InP substrates, and GaInP/GaAs dual-junction solar cells were grown on GaAs substrates. These two separate cells were then bonded together using the wafer bonding technology to fabricate a GaInP/GaAs/InGaAsP triple-junction solar cell. Under the AM1.5G solar simulator, the conversion efficiency of the GaInP/GaAs/InGaAsP wafer-bonded solar cell was 30.6%, achieving an efficiency of 34% under concentration. The results indicate that MBE can produce high-quality InGaAsP material, and that room-temperature wafer bonding technology holds great potential for the fabrication of multi-junction solar cells.
XUE Kai , RONG Jia-Min , XING Guo-Hui , XUE Jun-Jie , LIU Wen-Yao , ZHOU Yan-Ru , XING En-Bo , TANG Jun , LIU Jun
2026, 45(1):22-29. DOI: 10.11972/j.issn.1001-9014.2026.01.003
Abstract:Highly matched and precisely locked to the absorption lines of rubidium (Rb) atoms, 780 nm lasers play a crucial role in fields such as quantum computing, precision measurements, and high-sensitivity sensing, with clear requirements for strong coherence and fast tunability. In this paper, based on the self-injection locking and ultra-high quality factor whispering gallery mode (WGM) cavity, a 780 nm narrow linewidth (23.8 kHz) tunable laser with a single longitudinal mode output is verified. More importantly, benefiting from the optimized combined coupling coefficient K and via the lithium niobate electro-optic effect, the laser frequency detuning is effectively improved, with the experimental tuning range reaching 110 pm and the tuning efficiency of 6.4 pm/V. This work provides a high-performance design solution for fast-tunable narrow-linewidth lasers for applications in the near-infrared range, which is expected to play an essential role in the future.
QU Bai-Ang , GUO Hong-Jie , YANG Yong-Kang , CHEN Wen-Bin , ZHANG Xue-Chen , GUO Wen-Tao , TAN Man-Qing
2026, 45(1):30-35. DOI: 10.11972/j.issn.1001-9014.2026.01.004
Abstract:This paper introduces an innovative Multifunction Integrated Optic Circuit (MIOC) design utilizing thin-film lithium niobate, surpassing traditional bulk waveguide-based MIOCs in terms of size, half-wave voltage requirements, and integration capabilities. By implementing a sub-wavelength grating structure, we achieve a Polarization Extinction Ratio (PER) exceeding 29 dB. Furthermore, our electrode design facilitates a voltage-length product (VπL) below 2 V·cm, while a double-tapered coupling structure significantly reduces insertion loss. This advancement provides a pivotal direction for the miniaturization and integration of optical gyroscopes, marking a substantial contribution to the field.
LIANG Kai , YUE Wen-Cheng , XU Fan , ZHU Qian-Nan , ZHANG Jian-Min , WANG Shu-Xiao , CAI Yan
2026, 45(1):36-41. DOI: 10.11972/j.issn.1001-9014.2026.01.005
Abstract:In this paper, we present a broadband, high-extinction-ratio, nonvolatile 2×2 Mach-Zehnder interferometer (MZI) optical switch based on the phase change material Sb2Se3. The insertion loss (IL) is 0.84 dB and the extinction ratio (ER) reaches 28.8 dB at the wavelength of 1 550 nm. The 3 dB bandwidth is greater than 150 nm. Within the 3 dB bandwidth, the ER is greater than 20.3 dB and 16.3 dB at bar and cross states, respectively. The power consumption for crystallization and amorphization of Sb2Se3 is 105.86 nJ and 49 nJ, respectively. The switch holds significant promise for optical interconnects and optical computing applications.
XU Che , LU Jia-Ni , TANG Yong-Liang , TANG Xian-Feng
2026, 45(1):42-50. DOI: 10.11972/j.issn.1001-9014.2026.01.006
Abstract:This paper proposes a novel dual-frequency-band millimeter-wave extended interaction klystron amplifier (EIKA). It is primarily based on the multimode operating mechanism of dual-2π mode. This design integrates a broadband traveling-standing-wave mode input cavity with a dual-2π standing-wave mode output cavity, resulting in a compact slow-wave structure design that efficiently operates within a total circuit length of approximately 24 mm. Particle-in-cell simulation results reveal that under a 15.6 kV, 1 A electron beam and a uniform 0.6 T magnetic field, the device achieves output power for 183-1 024 W across a broadly 1.20 GHz bandwidth, spanning 93.76-94.96 GHz. Remarkably, it facilitates dual-band output in both lower-2π and upper-2π bands, delivering maximum gains of 37.09 dB (1 024.10 W at 93.90 GHz) and 35.75 dB (752.20 W at 94.84 GHz), with -3 dB bandwidths of 0.33 GHz and 0.20 GHz, respectively. The effectiveness for the dual-2π mode design is further confirmed through a cold-test experiment using the perturbation method. This experiment demonstrated typical dual-2π mode field distribution profiles, affirming the design''s efficacy.
WANG Dong-Shu , LIU Tong-Hao , WANG Liu-Ying , LIU Gu , CHEN Hai-Qing , CHEN Meng-Zhong , GE Chao-Qun , WANG Long , WANG Bin , XU Ke-Jun
2026, 45(1):51-68. DOI: 10.11972/j.issn.1001-9014.2026.01.007
Abstract:The new active metasurface has the advantages of small size, lightweight and easy integration, so it has an important application prospect in weapon radar intelligent stealth. Based on this, focusing on the requirements of radar intelligent stealth for current weapons and equipment, this paper expounds the methods, approaches and performance advantages of active metasurface in electromagnetic wave regulation, reviews the development history of various active metasurface, and summarizes the research status and future development direction of active metasurface for radar intelligent stealth. It provides the relevant theoretical basis and design reference for the wide application of active metasurface in intelligent stealth of weapon equipment radar.
LIU Yuan , XU Yong-Jiang , LAI Zhi-Hong , SHEN Yun , YANG Si-Jia , DENG Xiao-Hua
2026, 45(1):69-76. DOI: 10.11972/j.issn.1001-9014.2026.01.008
Abstract:Topological semimetal materials have garnered significant interest due to their distinctive electronic structures and unique properties. They serve as a foundation for exploring various physical phenomena including the anomalous Hall effect, topological phase transitions and negative magnetoresistance, while also offering potential solutions to the "THz Gap." This study focuses on the type-II Weyl semimetal tetratellurium iridium niobium (NbIrTe4) terahertz detector which exhibits a responsivity of 4.36 A/W, a noise equivalent power of 12.34 pW/Hz1/2 and an anisotropic resistance ratio of 32 at room temperature. This research paves the way for achieving high-performance terahertz detection at room temperature and serves as a reference for investigating the Weyl semimetal.
GAO Qing-Song , LI De-Tian , TAO Yuan , YANG Lei , ZHANG Hu-Zhong , MA Dong-Tao , PENG Miao-miao , JIN Ming , GUO Qiang , JIANG Shi-Chen , LI Yi-Nan , CHENG Chun-yue , LI Xue
2026, 45(1):77-89. DOI: 10.11972/j.issn.1001-9014.2026.01.009
Abstract:Aiming at the application requirements for brightness temperature calibration of spaceborne microwave radiometer thermal calibration targets, based on the temperature gradient characteristics of the absorptive coating and the generation mechanism of brightness temperature bias, and combined with engineering-feasible temperature measurement methods and experimental approaches, this study focuses on researching an on-orbit applicable brightness temperature metrology calibration technical solution. Given the current background of high emissivity design and determination technology of the calibration target being basically perfected, this work focuses on summarizing the methods for determining the temperature gradient characteristics of the calibration target coating. The goal is to construct an in-orbit available brightness temperature calibration method that uses multiple parameters, such as the measurable temperature values of the metal inner core of the calibration target and that near the radiation aperture of the calibration target. Based on feasible electromagnetic simulation technology, thermal simulation technology, platinum resistance and infrared temperature measurement techniques, the paper preliminarily summarizes the implementation path of the brightness temperature calibration technology system for space-borne calibration targets. This involves first constructing a basic brightness temperature calibration model considering uniform background brightness temperature and improving the mapping relationship from the inner core temperature of the calibration target and the equivalent background brightness temperature to the longitudinal temperature gradient of the coating. Subsequently, an application model for brightness temperature calibration considering the installation environment is constructed, improving the mapping relationship from the temperature measurements of the inner core and that of the radiation aperture area of calibration target to the overall brightness temperature deviation. Finally, the validation and application of the brightness temperature calibration model are discussed. The research on brightness temperature calibration of space-borne calibration source is an important technical basis and reference for further improving the accuracy of brightness temperature of calibration target and even developing space microwave radiation measurement standards.
HOU Shuai-Xing , YANG Si-Jia , SHEN Yun , DENG Xiao-Hua
2026, 45(1):90-96. DOI: 10.11972/j.issn.1001-9014.2026.01.010
Abstract:Metasurfaces are artificial structures that can finely control the characteristics of electromagnetic waves at subwavelength scales, and they are widely used to manipulate the propagation, phase, amplitude, and polarization of light. In this work, a bound state in the continuum (BIC) structure based on a metallic metasurface is proposed. By adjusting the metallic structure using CST and COMSOL software, a significant quasi-BIC peak can be achieved at a frequency of 0.8217 terahertz (THz). Through multi-level expansion analysis, it is found that the electric dipole (ED) is the main factor contributing to the resonant characteristics of the structure. By leveraging the characteristics of BIC, an imaging system was created and operated. According to the simulation results, the imaging system demonstrated excellent sensitivity and resolution, revealing the great potential of terahertz imaging. This research not only provides new ideas for the creation of BIC structures but also offers an effective reference for the development of high-performance terahertz imaging technology.
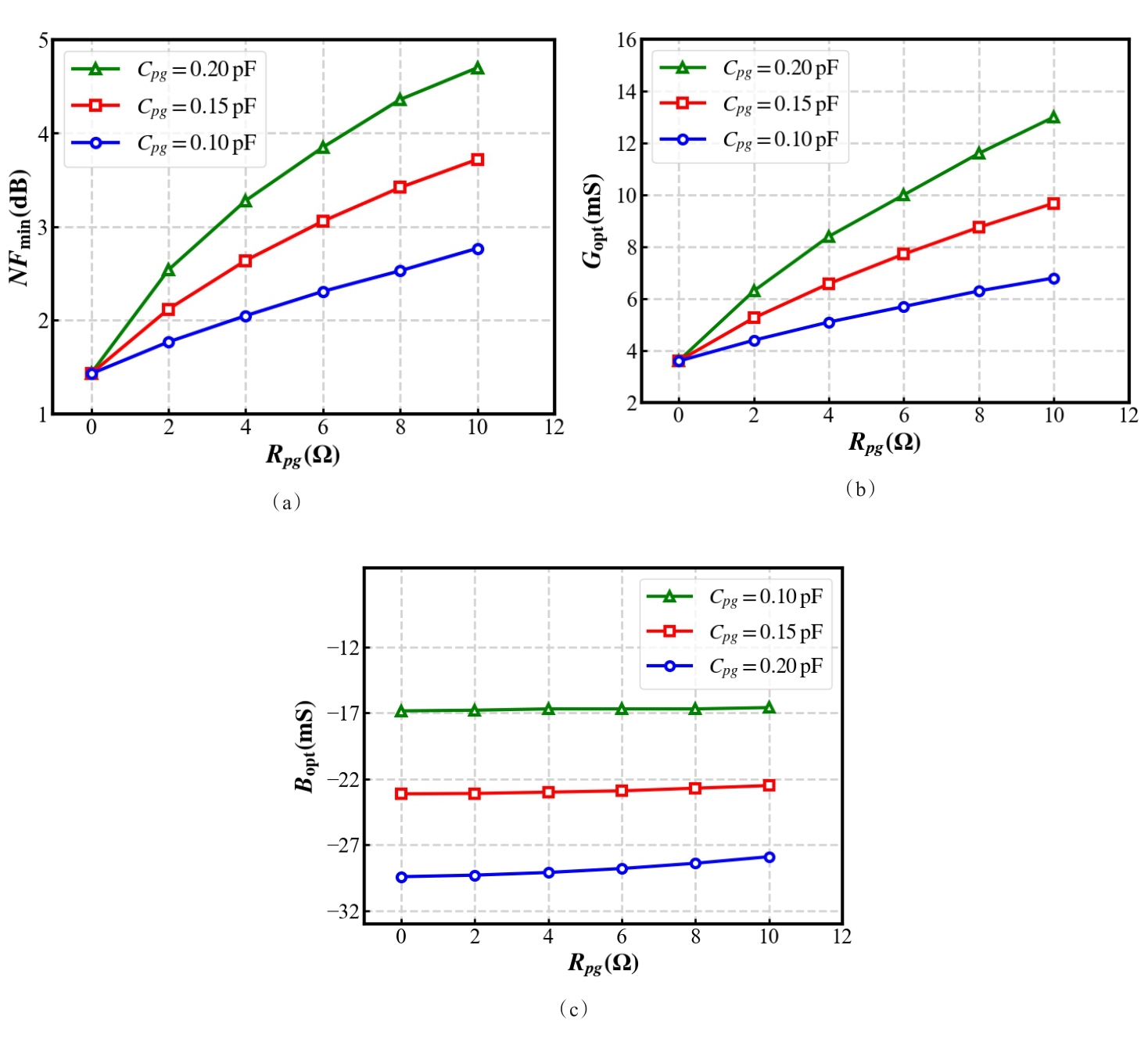
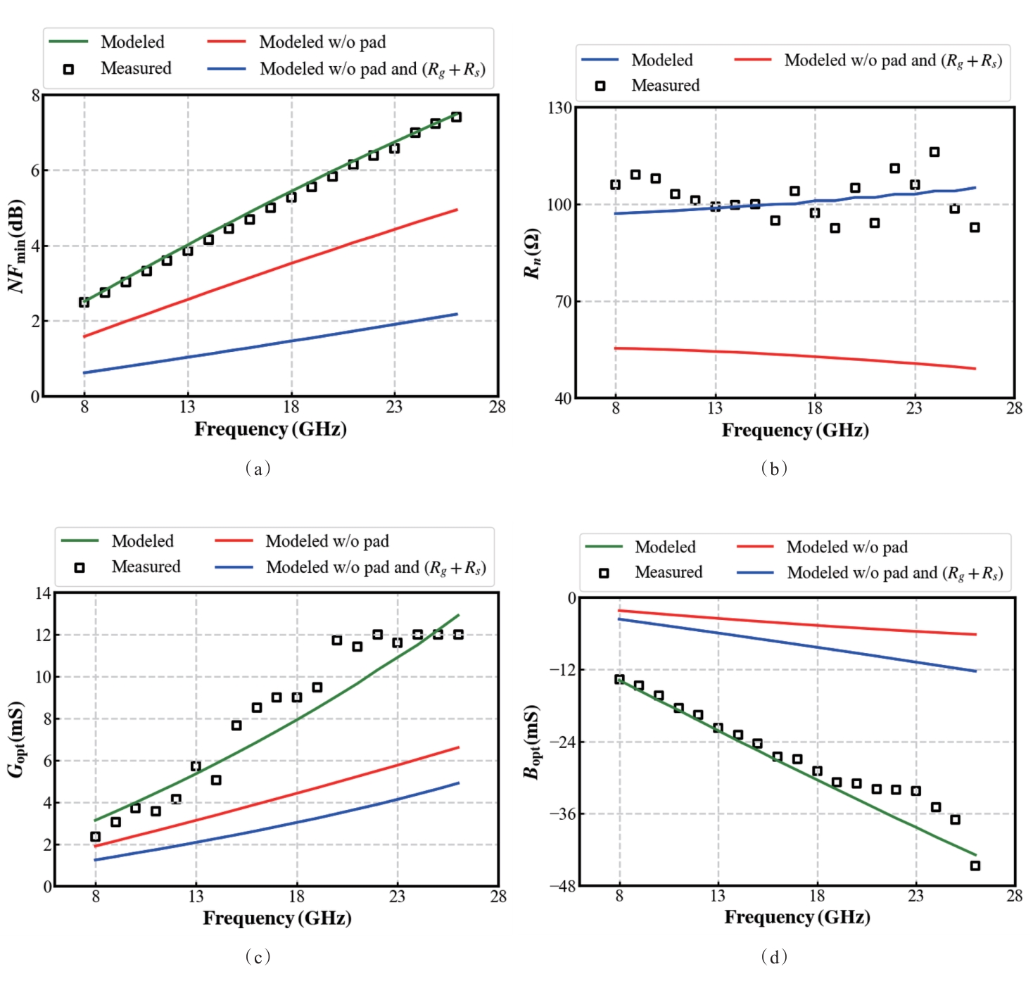
GAO Han-Qi , JIN Jing , ZHOU Jian-Jun
2026, 45(1):97-102. DOI: 10.11972/j.issn.1001-9014.2026.01.011
Abstract:This paper investigates the impact of extrinsic resistance on the noise performance of deep submicron MOSFETs (metal-oxide-semiconductor field-effect-transistor) using the noise correlation matrix method. Analytical closed-form expressions for calculating the four noise parameters are derived based on the small-signal and noise-equivalent circuit models. The results show strong agreement between simulated and experimental data for MOSFETs with a gate length of 40 nm and dimensions of 4×5 μm (number of gate fingers × unit gate width.
ZHANG Xin-Yue , FENG Shi-Yang , WANG Bin
2026, 45(1):103-115. DOI: 10.11972/j.issn.1001-9014.2026.01.012
Abstract:Remote sensing multimodal large language models (MLLMs), which integrate rich visual-linguistic modal information, have shown great potential in areas such as remote sensing image analysis and interpretation. However, existing knowledge distillation methods primarily focus on the compression of unimodal large language models, neglecting the alignment of features across modalities, thus hindering the performance of large language models in cross-modal tasks. To address this issue, a lightweighting method for remote sensing MLLMs based on knowledge distillation is proposed. This method achieves effective alignment of multimodal information by aligning the outputs across modalities at the feature level. By introducing the reverse Kullback-Leibler divergence as the loss function and combining optimization strategies such as teacher mixed sampling and single-step decomposition, the generalization and stability of the student model are further enhanced. Experimental results demonstrate that the proposed method achieves higher accuracy and efficiency in four downstream tasks of remote sensing image scene classification, visual question answering, visual localization, and image description, significantly reducing the number of model parameters and the demand for computational resources, thereby providing a new solution for the efficient application of MLLMs in the field of remote sensing.
ZHANG Xin-Yan , LIN Han , FEI Hong-Ming
2026, 45(1):116-124. DOI: 10.11972/j.issn.1001-9014.2026.01.013
Abstract:Thermo-optic modulators are key components of optical communication systems, and their performance directly affects system efficiency. With the development of silicon optothermonic technology, silicon thermo-optic modulators have been widely used in optothermonic chips. Conventional silicon optical modulators are large in size and have high losses. In recent years, researchers have proposed to use the slow light effect of photonic crystals to reduce the footprint of modulators. Related studies have shown that these devices have advantages, such as small size and low driving voltage. However, the optical transmittance of thermo-optic modulators based on photonic crystals is still affected by defects caused by fabrication errors. Valley photonic crystal optical waveguides can achieve scattering-immune high-efficiency unidirectional transmission, providing a new venue for realizing high-performance photonic devices. In this paper, a new silicon thermo-optic modulator based on a valley photonic crystal Mach-Zehnder interferometer (MZI) is designed. The electrical heating mechanism is introduced on one of the waveguides of the MZI. The thermo-optic effect modulates the refractive index to achieve precise phase modulation of the transmitted light. The thermo-optic modulator device has a small footprint of only 9.26 μm × 7.99 μm, which can achieve a high forward transmittance of 0.91, an insertion loss of 0.41 dB, and a modulation contrast of 11.75 dB. It can also be experimentally fabricated using complementary metal oxide semiconductor (CMOS) technology, so it will have broad application prospects. This modulation principle can be widely used in designing different thermo-optic modulation devices.
SONG Jun-Ling , RAO Wei , WANG Lin-Yan , ZHU Xiao-Hui , WANG Dian-Kai , FENG Gao-Ping
2026, 45(1):125-136. DOI: 10.11972/j.issn.1001-9014.2026.01.014
Abstract:A high-performance oxygen detection system enables real-time online monitoring of critical parameters such as oxygen concentration and flow velocity inside the engine, thereby ensuring optimal operational performance. In flow field testing for engines such as scramjets and aircraft engines, the complex environment—characterized by high temperatures, high pressures, high velocities, and limited measurement space—poses significant challenges to high-performance flow field diagnostics. To address these challenges, an oxygen concentration measurement device based on cavity-enhanced absorption spectroscopy (CEAS) was developed. The system incorporates an embedded optical probe structure and is equipped with multi-directional alignment stages at both the transmitter and receiver ends, enabling straightforward optical path adjustment and alignment for practical engineering applications. Experimental results indicate that, under static conditions, the system measured an oxygen concentration of (20.846±0.97%), showing good agreement with the reference value. In shock tube experiments, although vibrations and airflow disturbances during operation affected measurement accuracy, the system successfully captured three distinct states: before the arrival of the incident shock wave, after the incident shock wave passed but before the reflected shock wave arrived, and after the reflected shock wave passed. The measured trends in oxygen concentration align well with theoretical predictions.
HUANG Ying , DUAN Juan , GUO Qian , DING Lei , HUA Jian-Wen
2026, 45(1):137-147. DOI: 10.11972/j.issn.1001-9014.2026.01.015
Abstract:The Fourier transform spectrometer (FTS) is a precision infrared detection instrument. It adopts Michelson interference splitting, and the moving mirror is one of the core components. The uniformity and stability of the moving mirror’s speed directly affect the quality of the subsequent interferogram, so it is necessary to carry out high-precision motion control of the moving mirror. For some FTS with moving mirror in low-speed motion, the traditional M-method can no longer meet the requirements of speed measurement accuracy. In addition, when the moving mirror moves at a low speed, the speed stability is more easily affected by external mechanical disturbance. Based on the stability requirement of the low-speed moving mirror, this paper studies the motion control of the moving mirror based on the T-method measuring speed. It proposes a high-precision algorithm to obtain the measured and expected value of the velocity. By establishing the mathematical model and dynamic equation of the controlled object, the speed feedforward input is obtained, and then the compound speed controller based on the feedforward control is designed. The control algorithm is implemented by the FPGA hardware platform and applied to the FTS. The experimental results show that the peak-to-peak velocity error is 0.0182, and the root mean square (RMS) velocity error is 0.0027. To test the anti-interference capability of the moving mirror speed control system, the sinusoidal excitation force of 5 mg, 7.5 mg, and 10 mg is applied in the moving mirror motion direction on the FTS platform. Under each given magnitude, the scanning of each frequency point in 2~200 Hz is carried out. The experimental results show that the peak-to-peak velocity error and the RMS velocity error are proportional to the excitation magnitude. Under the 5 mg excitation, the maximum peak-to-peak velocity error is 0.0724, and the maximum RMS velocity error is 0.0225. From a comprehensive analysis of spectrum stability and the sampling interval error of the infrared focal plane detector, the moving mirror velocity uniformity at 5 mg can meet both requirements. This enables the FTS to possess certain anti-interference capability even when applied in micro-vibration environments. This design provides a technical means for realizing the speed control of the moving mirror with low speed and high stability. Also, it makes the FTS have wider applications.
WANG Han-Ting , DI Yun-Xiang , QI Xing-Yu , SHA Ying-Zhe , WANG Ya-Hui , YE Ling-Feng , TANG Wei-Yi , BA Kun , WANG Xu-Dong , HUANG Zhang-Cheng , CHU Jun-Hao , SHEN Hong , WANG Jian-Lu
2026, 45(1):148-156. DOI: 10.11972/j.issn.1001-9014.2026.01.016
Abstract:Near-infrared image sensors are widely used in fields such as material identification, machine vision, and autonomous driving. Lead sulfide colloidal quantum dot-based infrared photodiodes can be integrated with silicon-based readout circuits in a single step. Based on this, we propose a photodiode based on an n-i-p structure, which removes the buffer layer and further simplifies the manufacturing process of quantum dot image sensors, thus reducing manufacturing costs. Additionally, for the noise complexity in quantum dot image sensors when capturing images, traditional denoising and non-uniformity methods often do not achieve optimal denoising results. For the noise and stripe-type non-uniformity commonly encountered in infrared quantum dot detector images, a network architecture has been developed that incorporates multiple key modules. This network combines channel attention and spatial attention mechanisms, dynamically adjusting the importance of feature maps to enhance the ability to distinguish between noise and details. Meanwhile, the residual dense feature fusion module further improves the network''s ability to process complex image structures through hierarchical feature extraction and fusion. Furthermore, the pyramid pooling module effectively captures information at different scales, improving the network''s multi-scale feature representation ability. Through the collaborative effect of these modules, the network can better handle various mixed noise and image non-uniformity issues. Experimental results show that it outperforms the traditional U-Net network in denoising and image correction tasks.
LIU Bao-Jian , LI Da-Qi , DUAN Wei-Bo , YU De-Ming , CAI Qing-Yuan , YU Tian-Yan , JIANG Lin , YANG Yu-Ting , ZHUANG Qiu-Hui , ZHENG Yu-Xiang
2026, 45(1):157-165. DOI: 10.11972/j.issn.1001-9014.2026.01.017
Abstract:This study systematically investigated the influence of deposition rate on the structure, broadband optical properties (1.0-13.0 μm), and stress characteristics of Germanium (Ge) films. Additionally, a method for enhancing the performance of infrared filters based on rate-modulated deposition of Ge films was proposed. The optical absorption of Ge films in the short-wave infrared (SWIR) and long-wave infrared (LWIR) bands can be effectively reduced by modulating the deposition rate. As the deposition rate increases, the Ge films maintain an amorphous structure. The optical constants of the films in the 1.0-2.5 μm and 2.5-13.0 μm bands were precisely determined using the Cody-Lorentz model and the classical Lorentz oscillator model, respectively. Notably, higher deposition rates result in a gradual increase in the refractive index. The extinction coefficient increases with the deposition rate in the SWIR region, attributed to the widening of the Urbach tail, while it decreases in the LWIR region due to the reduced absorption caused by the Ge-O stretching mode. Additionally, the films exhibit a tensile stress that decreases with increasing deposition rate. Finally, the effectiveness of the proposed fabrication method for an infrared filter with Ge films deposited at an optimized rate was demonstrated through practical examples. This work provides theoretical and technical support for the application of Ge films in high-performance infrared filters.
ZHENG Jin-jiang , LI Xiao-Xia , ZHAO Da-Peng , CHEN Yi , WU Meng-Xing
2026, 45(1):166-181. DOI: 10.11972/j.issn.1001-9014.2026.01.018
Abstract:Infrared polarization image fusion can fully utilize the polarization information of the scene, compensate for the disadvantage of infrared intensity images in describing high-frequency information such as scene contour edges and texture details, and has unique advantages in target detection and recognition, background noise suppression, and counter camouflage. The article summarized the research progress of infrared polarization image fusion technology from two aspects: single algorithm image fusion and multi-algorithm combination image fusion. It analyzed the design ideas of typical algorithms and summarized the advantages and disadvantages of each algorithm. Based on the current trend where single algorithm serves as the mainstream and multi-algorithm combination as the development trend for infrared polarization image fusion, this paper anticipates its potential future development direction.
XIE Shu-Xin , LI Peng-Fei , ZHAO Si-Wei , LIAN Xiao-Ying , SUN De-Xin
2026, 45(1):182-194. DOI: 10.11972/j.issn.1001-9014.2026.01.019
Abstract:Aircraft contrail detection remains crucial for maintaining airspace safety and addressing the greenhouse effects caused by the aviation industry. Existing methods for detecting aircraft contrails primarily relied on the radiance or temperature differences between specific channels in multispectral images. But they did not fully exploit the potential of spectral features. The advancement of satellite-borne hyperspectral imaging technology has provided a new data foundation for aircraft contrail detection. However, methods that rely solely on either the spatial or spectral dimension of the image are unlikely to achieve satisfactory results in the task of aircraft contrail detection using satellite-based hyperspectral imagery. Therefore, a detection algorithm for potential aircraft contrails was explored using shortwave infrared hyperspectral images from the GF-5 AHSI. A spatial-spectral feature extraction method was proposed, which utilized the complementary nature of spatial and spectral information in hyperspectral images. The method achieved an accuracy of over 97% and a false alarm rate of less than 2% on GF-5 hyperspectral image data. It not only provides an innovative technical approach for aircraft contrail detection, but also offers valuable insights for future researchers and promotes further development of hyperspectral imaging in practical applications.

Editor in chief:WANG Jian-Yu
International standard number:ISSN 1001-9014
Unified domestic issue:CN 31-1577
Domestic postal code:4-335