
Editor in chief:WANG Jian-Yu
International standard number:ISSN 1001-9014
Unified domestic issue:CN 31-1577
Domestic postal code:4-335
- Most Read
- Most Cited
- Most Downloaded
LI Chong , MA Zi-Yi , YANG Shuai , LIU Yue-Wen , WANG Jia-Xuan , LIU Yun-Fei , DONG Yu-Sen , LI Zi-Qian , LIU Dian-Bo
2025, 44(3):327-334. DOI: 10.11972/j.issn.1001-9014.2025.03.001
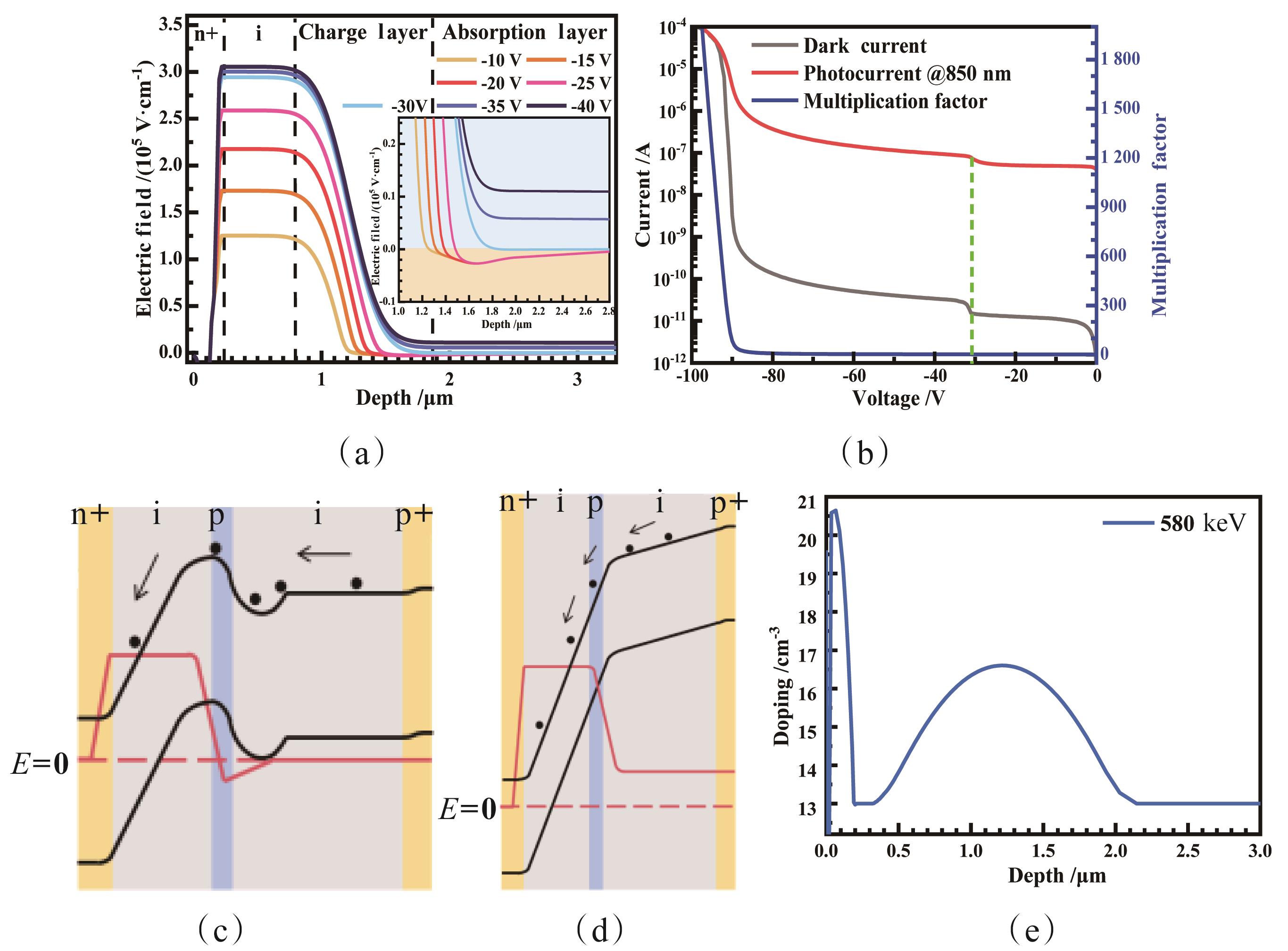
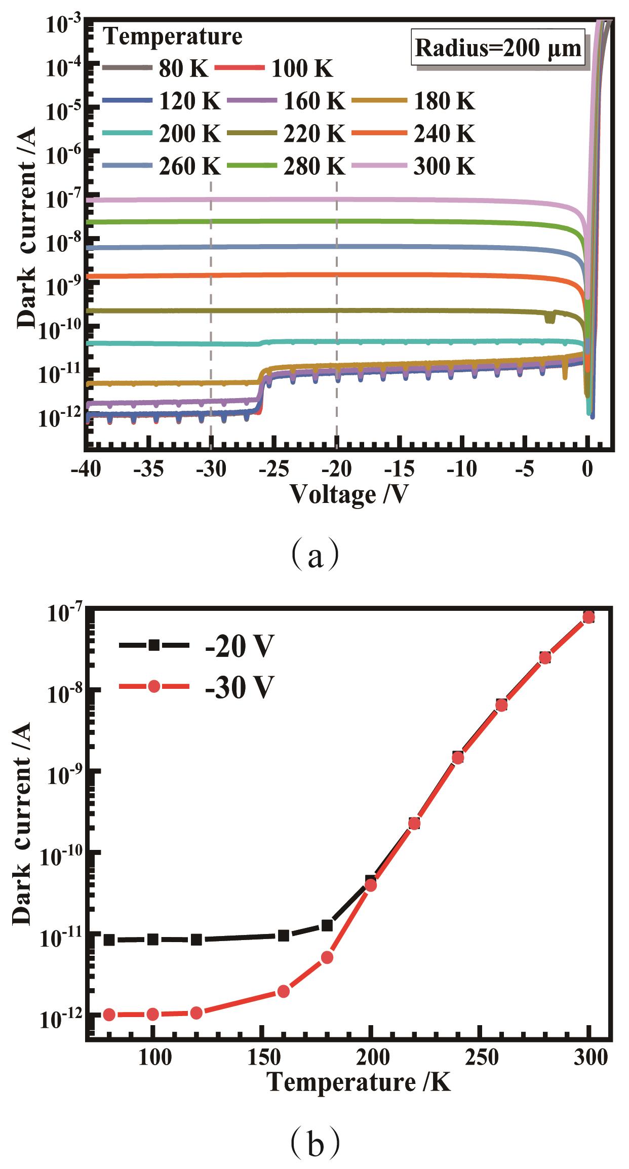
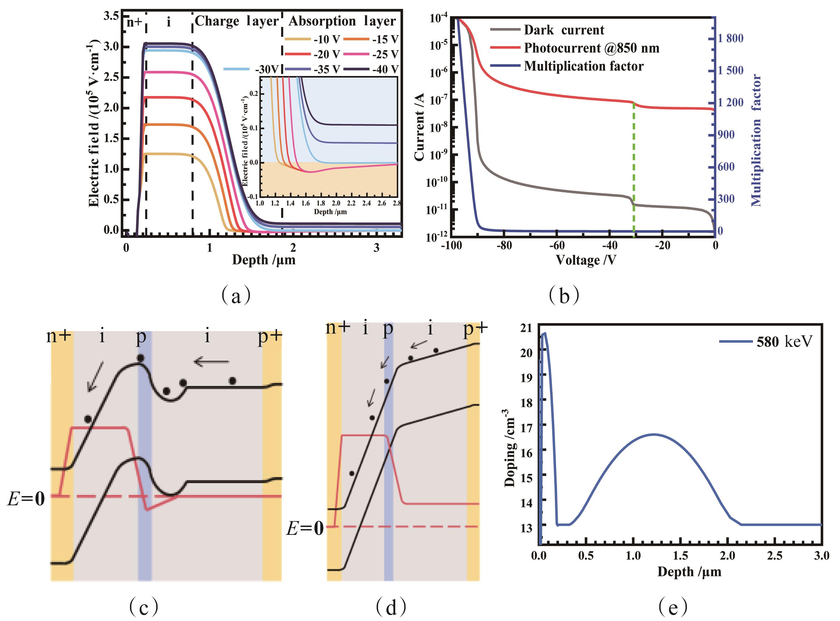
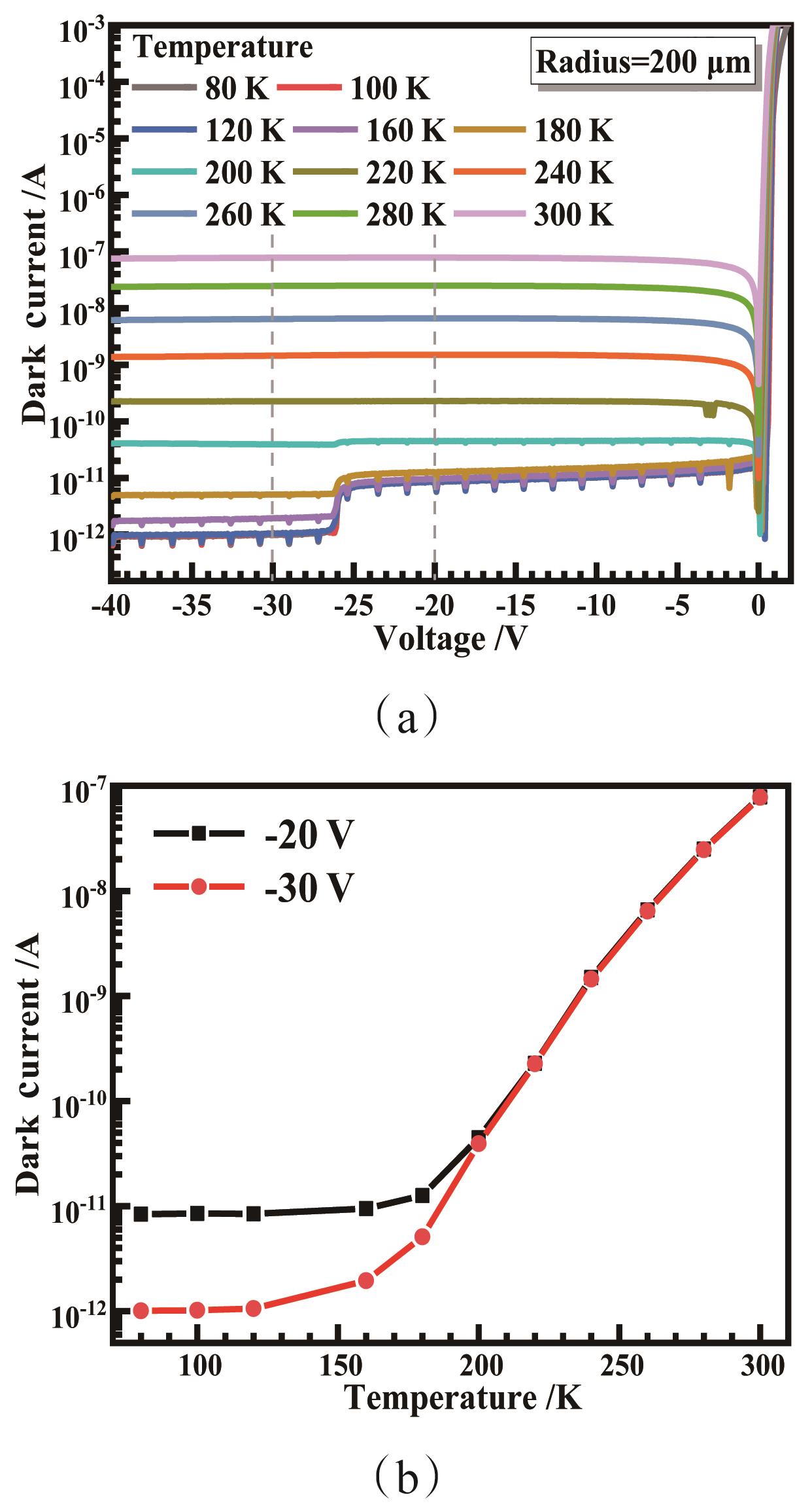
Abstract:This paper investigates the punch-through characteristics of separate absorption, charge and multiplication avalanche photodetector (SACM APD). By analyzing the device''s spectral response, capacitance characteristics, and current-voltage (I-V) characteristics at various operating temperatures, and combining these with simulated internal electric field and energy band distributions from the SILVACO platform, we analyzed examined the performance of the SACM APD before and after punch-through and established a corresponding mathematical model. Through structural and process parameter optimization for silicon-based SACM APD devices, simulations revealed that when the ion implantation energy of the field-control layer was 580 keV, the optimized device exhibited a punch-through threshold voltage of -30 V and a capacitance reduction to one-third of the pre-punch-through value. Subsequently, a silicon SACM APD device was fabricated using the complementary metal-oxide-semiconductor (CMOS) process. Measurements confirmed a punch-through threshold voltage of -30 V, a 2.18-fold increase in photocurrent at 808 nm (punch-through), a redshift of the peak responsivity wavelength from 590 nm (pre-punch-through) to 820 nm (post-punch-through), and an elevation of the peak responsivity from 0.171 A/W@590 nm to 0.377 A/W@820 nm. The capacitance was also reduced to one-third of the pre-punch-through value at 1 MHz.
NIE Su-Zhen , CAO Jie , HAO Qun , ZHUANG Xu-Ye
2025, 44(3):335-344. DOI: 10.11972/j.issn.1001-9014.2025.03.002
Abstract:Unmanned Aerial Vehicles(UAVs) have a wide range of applications in agriculture, logistics, rescue and disaster relief because of their compactness, lightness and flexibility. However, if they are used improperly or mismanaged, they may not only cause personal privacy leakage and property loss, but also pose a threat to public safety and even military security. Therefore, real-time and accurate detection and warning of UAVs in the airspace play an important role. In this regard, a multi-channel interactive attention mechanism and edge contour enhancement (MCIAECE) method for infrared UAV detection is proposed. Firstly, the shallow and deep features of the infrared image are extracted by a dual-channel consisting of a multi-channel interactive attention mechanism module and an edge contour enhancement module, after which the attention mechanism enhances the target features while the edge contour enhancement obtains more detailed information. Then the extracted features of each layer are fused and enhanced using the multilevel feature fusion module to obtain the detection results. The experimental results show that better results can be achieved with the MCIAECE method on all three datasets. Among them, the best results are obtained on the NUDT-SIRST infrared dataset, with the detection probability and intersection over union of 98.83% and 85.11% respectively, which increased by 1.95% and 6.88% compared to the baseline network, and the effect is significant in the edge contour restoration of the target compared with other methods.
Abbas Haddadi , Brown Gail , Razeghi Manijeh
2025, 44(3):345-350. DOI: 10.11972/j.issn.1001-9014.2025.03.003
Abstract:This study introduces a comprehensive theoretical framework for accurately calculating the electronic band-structure of strained long-wavelength InAs/GaSb type-II superlattices. Utilizing an eight-band
ZHU Xiao-Jun , LIU Yu , WU Yue , ZHUANG Hao-Ran , SUN Dan , SHI Yue-Chun , CAO Juan , YANG Yong-Jie
2025, 44(3):351-356. DOI: 10.11972/j.issn.1001-9014.2025.03.004
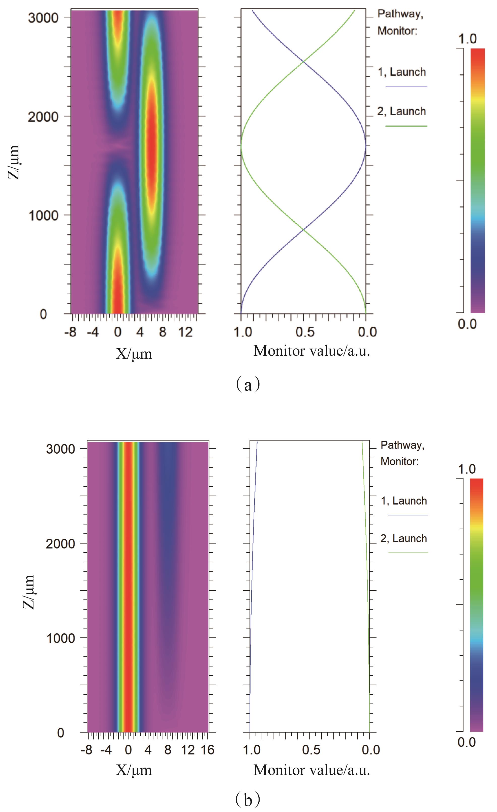
Abstract:A novel near-infrared all-fiber mode monitor based on a mini-two-path Mach-Zehnder interferometer (MTP-MZI) is proposed. The MTP-MZI mode monitor is created by fusing a section of (no-core fiber ,NCF) and a (single-mode fiber ,SMF) together with an optical fiber fusion splicer, establishing two distinct centimeter-level optical transmission paths. Since the high-order modes in NCF transmit near-infrared light more sensitively to curvature-induced energy leakage than the fundamental mode in SMF, the near-infrared high-order mode light leaks out of NCF when the curvature changes, causing the MTP-MZI transmission spectrum to change. By analyzing the relationship between the curvature, transmission spectrum, and spatial frequency spectrum, the modes involved in the interference can be studied, thereby revealing the mode transmission characteristics of near-infrared light in optical fibers. In the verification experiments, higher-order modes were excited by inserting a novel hollow-core fiber (HCF) into the MTP-MZI. When the curvature of the MTP-MZI changes, the near-infrared light high-order mode introduced into the device leaks out, causing the transmission spectrum to return to its original state before bending and before the HCF was spliced. The experimental results demonstrate that the MTP-MZI mode monitor can monitor the fiber modes introduced from the external environment, providing both theoretical and experimental foundations for near-infrared all-fiber mode monitoring in optical information systems.
DU Hai-Wei , WANG Jing-Yi , SUN Chang-Ming , LI Qiang-Shuang
2025, 44(3):357-363. DOI: 10.11972/j.issn.1001-9014.2025.03.005
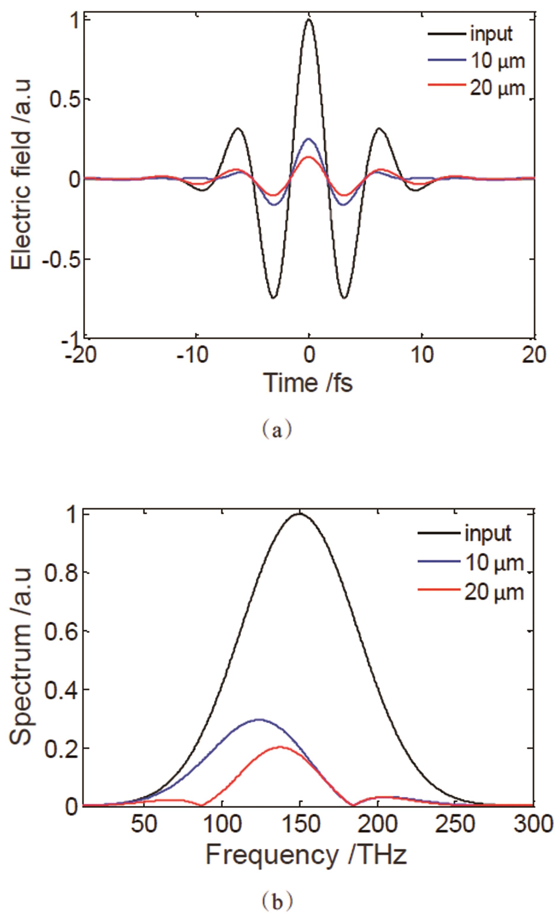
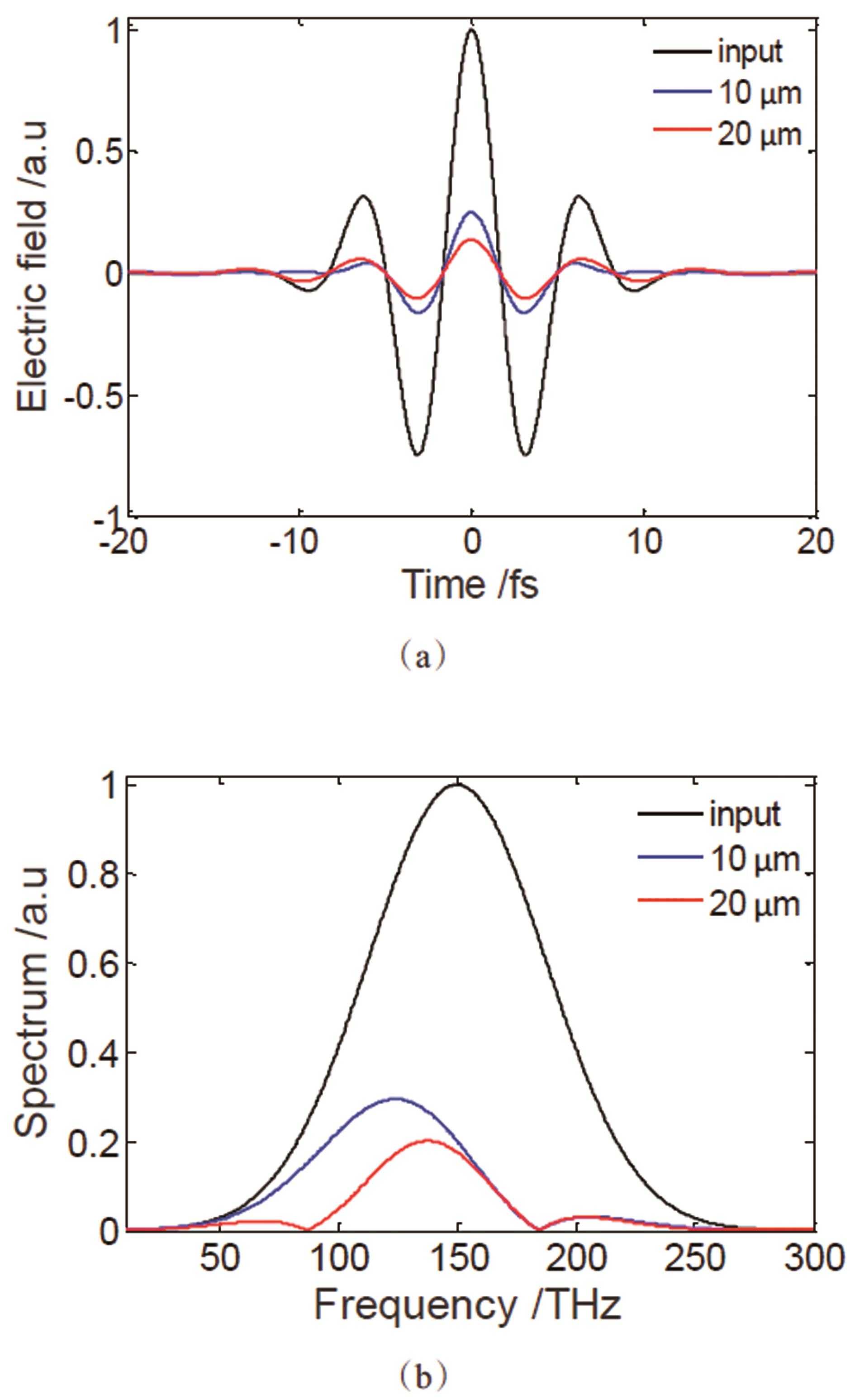
Abstract:Electro-Optic Sampling (EOS) detection technique has been widely used in terahertz science and technology, and it also can measure the field time waveform of the few-cycle laser pulse. Its frequency response and band limitation are determined directly by the electro-optic crystal and duration of the probe laser pulse. Here, we investigate the performance of the EOS with thin GaSe crystal in the measurement of the mid-infrared few-cycle laser pulse. The shift of the central frequency and change of the bandwidth induced by the EOS detection are calculated, and then the pulse distortions induced in this detection process are discussed. It is found that this technique produces a red-shift of the central frequency and narrowing of the bandwidth. These changings decrease when the laser wavelength increases from 2 μm to 10 μm. This work can help to estimate the performance of the EOS detection technique in the mid-infrared band and offer a reference for the related experiment as well.
SONG Jian-Tao , MA Shu-Huan , WANG Chen-Xiao , YANG Fan , CHEN Zhi-Jian , YAO Bi-Mu
2025, 44(3):364-369. DOI: 10.11972/j.issn.1001-9014.2025.03.006
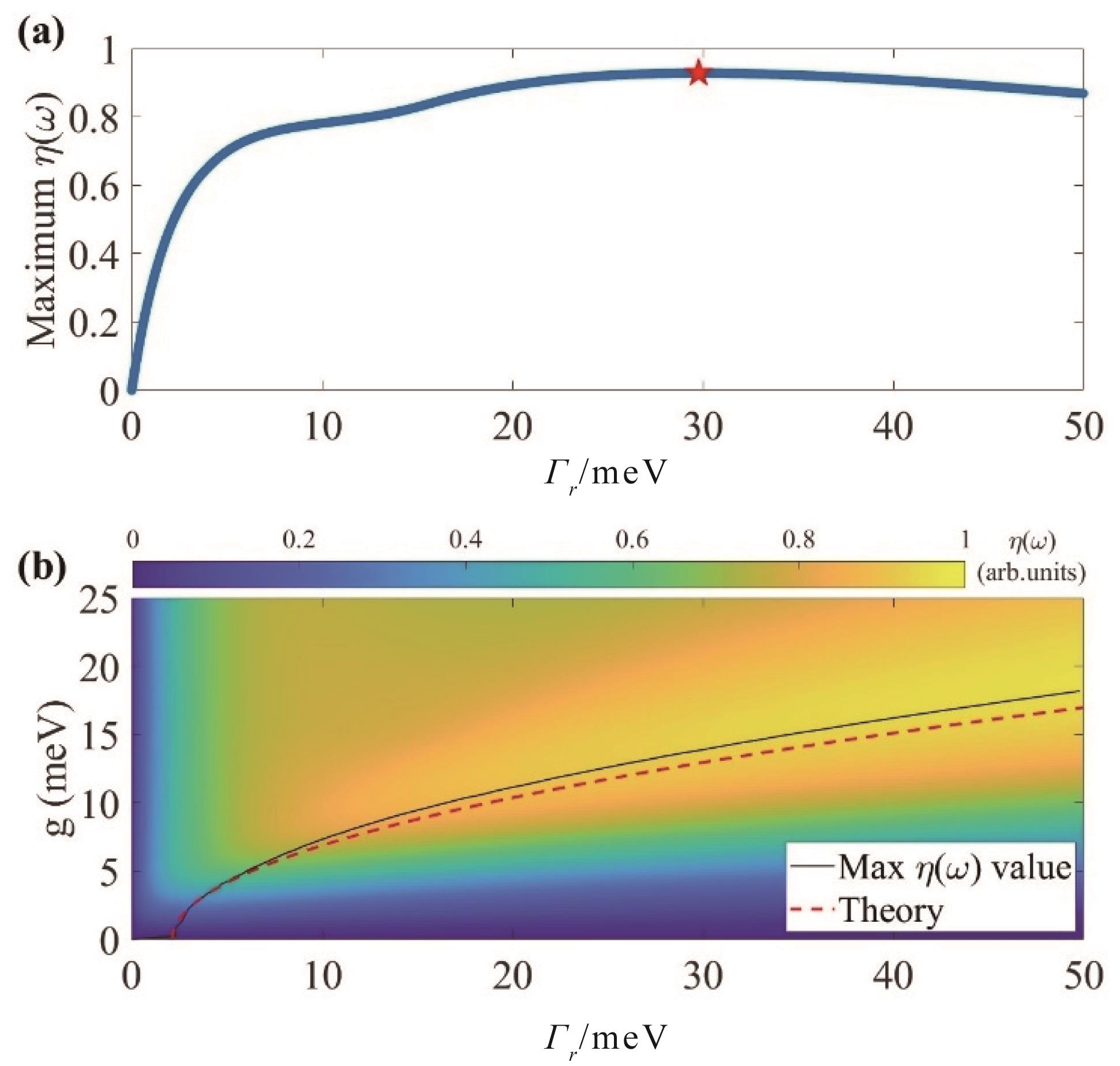
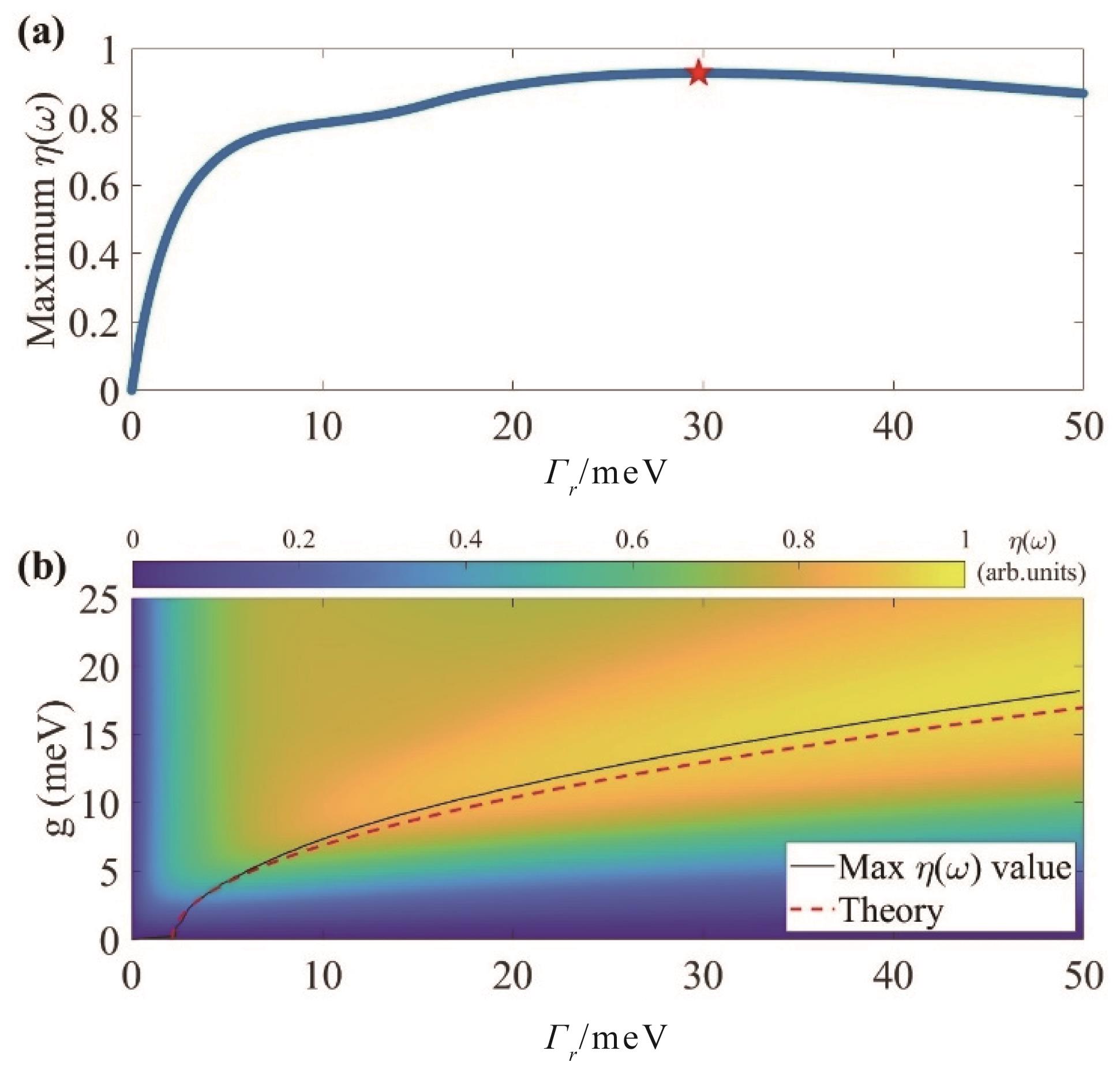
Abstract:To enhance the net photoelectric conversion efficiency of quantum well infrared photodetectors, this study investigates the matching conditions between radiative dissipation and coupling strength in devices operating in the strong light-matter coupling regime. A critical coupling model distinct from the conventional intrinsic and radiative dissipation matching is proposed. Through an analytical model, the contributions of intrinsic thermal dissipation and coupling strength to the critical conditions are quantified. The results indicate that, with optimized matching parameters, the net photoelectric absorption efficiency, excluding thermal dissipation, can exceed 95%. Moreover, under the synergistic regulation of the strong coupling mechanism and critical coupling conditions, the photodetection response can be enhanced by up to 160%. This work highlights the importance of optimizing dissipation and coupling parameters under strong coupling conditions, providing theoretical and design guidance for improving photoelectric conversion efficiency and enhancing the performance of quantum well infrared photodetectors.
BU Yong-Hao , ZHOU Jing , DENG Jie , WANG Ruo-Wen , YE Tao , SHI Meng-Die , HUANG Jun-Wei , ZHANG Yu-Jie , NING Jun , LU Wei , CHEN Xiao-Shuang
2025, 44(3):370-382. DOI: 10.11972/j.issn.1001-9014.2025.03.007
Abstract:The polarization properties of light are widely applied in imaging, communications, materials analysis, and life sciences. Various methods have been developed that can measure the polarization information of a target. However, conventional polarization detection systems are often bulky and complex, limiting their potential for broader applications. To address the challenges of miniaturization, integrated polarization detectors have been extensively explored in recent years, achieving significant advancements in performance and functionality. In this review, we focus mainly on integrated polarization detectors with innovative features, including infinitely high polarization discrimination, ultrahigh sensitivity to polarization state change, full Stokes parameters measurement, and simultaneous perception of polarization and other key properties of light. Lastly, we discuss the opportunities and challenges for the future development of integrated polarization photodetectors.
TAN Cheng , YAN Chuan-Feng , ZANG Shan-Zhi , WANG Kai , GAN Liang-Hua , CAO Chen-Tao , CHEN Bing-Qi , CHEN Hong-Tai , ZHANG Yue-Heng , FANG Yu-Long , XU Gang-Yi
2025, 44(3):383-392. DOI: 10.11972/j.issn.1001-9014.2025.03.008
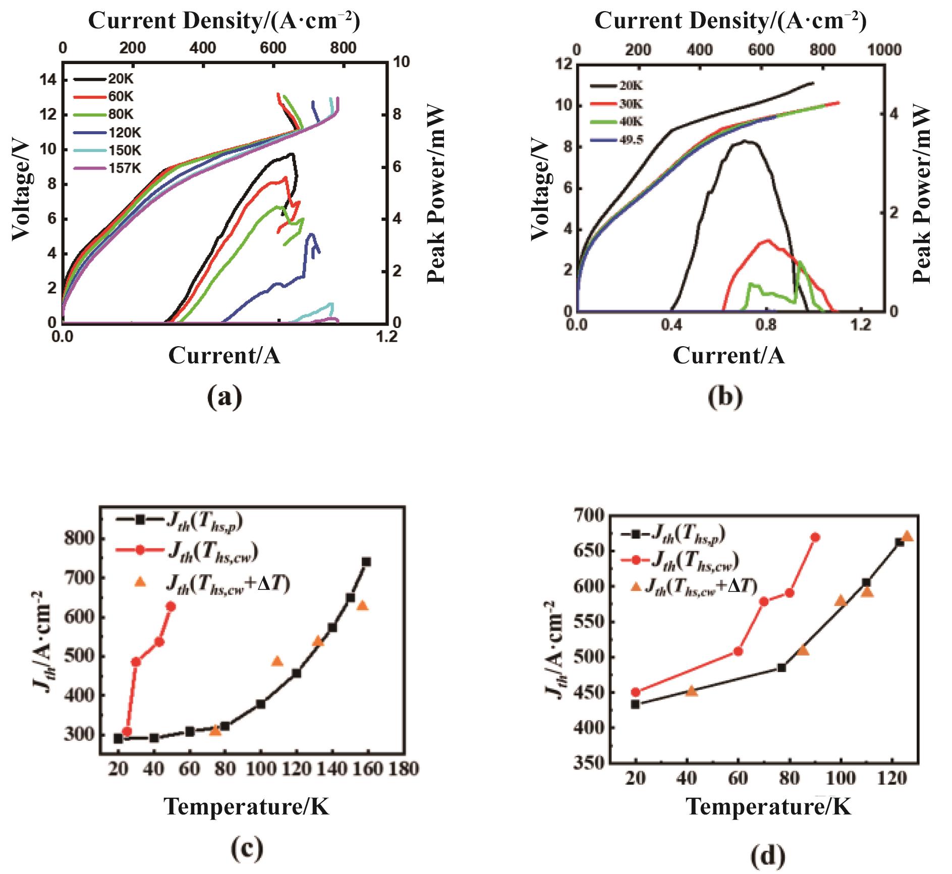
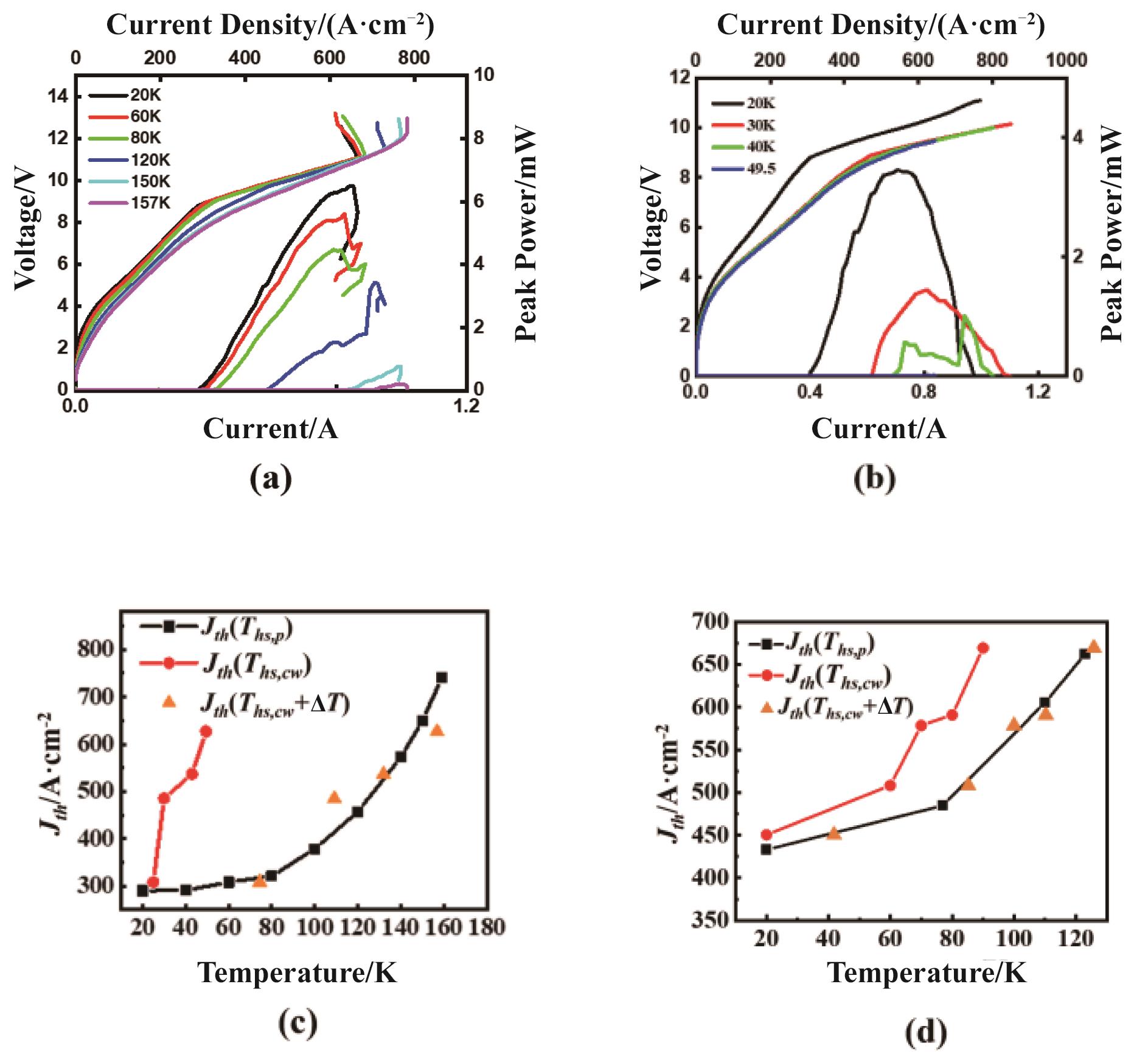
Abstract:A single-mode terahertz quantum cascade laser (THz-QCL) with a two-dimensional patch antenna array as a resonant cavity is proposed and realized. The active region of each patch antenna is sandwiched between two metal layers, exhibiting full-scale subwavelength characteristics and exciting a vertical electric quadrupole mode with low radiation loss. The inter-antenna coupling within the array effectively suppresses electromagnetic leakage in the plane, allowing for a high-quality factor and low threshold current density even with only a few antennas in the array. As a result, the laser''s power consumption is reduced to 950 mW. Moreover, the discrete antenna array design provides a larger heat dissipation area compared to the heat-generating area, and with the lateral heat dissipation channels offered by the unpumped regions, the thermal resistance per unit area is as low as 5.6 mK/W/cm2. By significantly reducing power consumption and enhancing heat dissipation efficiency, the laser achieves a lasing frequency of 3.18 THz, a side-mode suppression ratio (SMSR) of 19.5 dB, and a beam divergence angle of 35°×35°. It operates continuously at 3.14 mW at 20 K, with a maximum continuous operation temperature of 90 K, notably higher than that of Fabry-Pérot cavity lasers made from the same material. This work provides a novel approach to improve the continuous operating temperature of THz-QCLs.
LI Yu-Han , YANG Bao-Yu , ZHANG Qiang , GUO Zhi-Peng , WU Yi-Nong , TANG Xiao , LI Shang-Ju
2025, 44(3):393-404. DOI: 10.11972/j.issn.1001-9014.2025.03.009
Abstract:The Infrared Hyperspectral Atmospheric Sounder II (HIRAS-II) is the key equipment on FengYun-3E (FY-3E) satellite, which can realize vertical atmospheric detection, featuring hyper spectral, high sensitivity and high precision. To ensure its accuracy of detection, it is necessary to correlate their thermal models to in-orbit data. In this work, an investigation of intelligent correlation method named Intelligent Correlation Platform for Thermal Model (ICP-TM) was established, the advanced Kriging surrogate model and efficient adaptive region optimization algorithm were introduced. After the correlation with this method for FY-3E/HIRAS-II, the results indicate that compared with the data in orbit, the error of the thermal model has decreased from 5 K to within ±1 K in cold case (10 ℃). Then, the correlated model is validated in hot case (20 ℃), and the correlated model exhibits good universality. This correlation precision is also much superiors to the general ones like 3 K in other similar literature. Furthermore, the process is finished in 8 days using ICP-TM, the efficiency is much better than 3 months based on manual. The results show that the proposed approach significantly enhances the accuracy and efficiency of thermal model, this contributes to the precise thermal control of subsequent infrared optical payloads.
HUANG Song , CUI Peng-Wei , WANG Yue , WANG Liang-Liang , ZHANG Jia-Shun , MA Jun-Chi , ZHANG Chun-Xue , GUO Li-Yong , YANG Han-Ming , WU Yuan-Da , AN Jun-Ming , SONG Ze-Guo
2025, 44(3):405-411. DOI: 10.11972/j.issn.1001-9014.2025.03.010
Abstract:A 16-channel arrayed waveguide grating (AWG) with an 800 GHz channel spacing in the O-band has been developed and fabricated based on silica planar lightwave circuit (PLC) technology. By extending the wavelength allocation from 8 channels to 16 channels as specified in IEEE 802.3bs, we increased the number of channels and boosted transmission capacity to meet the 1.6 Tbps and higher-speed signal transmission requirements for future data centers. Through optimizing the AWG structure, it has achieved insertion loss (IL) better than -1.61 dB, loss uniformity below 0.35 dB, polarization-dependent loss (PDL) below 0.35 dB, adjacent channel crosstalk under -20.05 dB, ripple less than 0.75 dB, center wavelength offset under 0.22 nm and 1 dB bandwidth exceeding 2.88 nm. The AWG has been successfully measured to transmit 53 Gbaud 4-level pulse amplitude modulation (PAM4) signal per channel and the total transmission speed can reach over 1.6 Tbps.
ZHOU Si-Han , ZHAO Pu-Fan , HAN Qi-Jin , LUAN Chao , YANG Jian , WANG Heng , MA Yue , ZHOU Hui , LI Song
2025, 44(3):412-423. DOI: 10.11972/j.issn.1001-9014.2025.03.011
Abstract:The linear mode laser altimeter onboard China''s satellite is primarily used to provide elevation control points for imagery. During satellite operations, environmental variations can induce laser pointing offsets, which in turn increase the positioning errors of the footprints, thereby directly reducing the elevation accuracy of the control points. This issue is particularly pronounced in complex mountainous terrains. To enhance the reliability of laser altimeter observations from satellites in such regions, this paper proposed a new laser footprint positioning method based on waveform frequency domain matching. This method utilizes high-precision terrain data for waveform simulation and determines the position of the laser footprint by calculating the correlation between the simulated waveform and the waveform received by China''s Gaofen series satellite in the frequency domain. Additionally, systematic deviations in laser pointing are derived from the joint computational results of multi-footprint frequency domain matching. Experiments were conducted using in three regions: central Montana, western Wyoming, and eastern Utah in the United States. The results indicate that the standard deviations of footprint planar offset distances, planar true north pinch angles, and equivalent laser pointing deviation angles obtained with this method are all superior to those achieved with the time-domain waveform matching method. The findings underscore the advantages of frequency-domain waveform matching in achieving high-precision footprint localization, thereby providing a robust foundation for enhancing the utility of satellite laser altimeter observations in challenging environments and facilitating the correction of laser altimeter pointing errors.
XU Xue-Rong , PENG Yi-Tian , GU Ming-Jian , JIANG Teng-teng
2025, 44(3):424-429. DOI: 10.11972/j.issn.1001-9014.2025.03.012
Abstract:The effect of external vibration on the velocity uniformity of the moving mechanism of the angular mirror translational Fourier transform interferometer (hereinafter referred to as interferometer) can be quantitatively analysed by the interferometer optical range difference velocity stability. The article proposes a more comprehensive method of analysing the optical range difference velocity uniformity for the reliability of the interferometer kinematic mechanism under the influence of on-orbit microvibration in the process of space spectroscopy detection. The method incorporates the structural response of the interferometer caused by external excitation into the stability analysis as one of the influencing factors, so as to reflect the reliability of the interferometer in orbit more realistically, and judge the microvibration criticality that the interferometer can withstand more accurately. At the same time, an optical surface model of the interferometer is established to further theoretically characterise the effect of microvibration on the homogeneity of the interferometric mechanism. The method discussed in the article provides a way of thinking for the judgement of the reliability of the mechanism movement under the external excitation perturbation as well as the research on the optimisation of the mechanism control.
GE Sun-Yi , LUO Xiao-Wei , FENG Shi-Yang , WANG Bin
2025, 44(3):430-443. DOI: 10.11972/j.issn.1001-9014.2025.03.013
Abstract:The existing deep learning-based image blind super-resolution algorithms only utilize neural networks to learn the end-to-end mapping from low-resolution (LR) images to high-resolution (HR) images, only allowing the network to implicitly learn image priors, resulting in algorithms that still produce blurry super-resolution results. To address the above issues, a deep learning image blind super-resolution algorithm guided by sparsity and self-similarity priors is proposed. Initially, for various LR image inputs, a dynamic linear kernel estimation module is employed to effectively estimate the corresponding blur kernels; Subsequently, a deep unfolding deconvolution filtering module based on the Fast Iterative Shrinkage-Thresholding Algorithm (FISTA) is utilized to explicitly model the sparsity prior of signal, achieving deconvolution restoration of the degraded images; Finally, a dual-path multi-scale large receptive field restoration module leverages the self-similarity prior of images for super-resolution recovery. The experimental results indicate that, compared to existing methods, the proposed algorithm achieves a peak signal-to-noise ratio (PSNR) of 31.66 and a structural similarity index (SSIM) of 0.8725 on the publicly available Gaussian8 dataset, and attains a PSNR of 29.08 and an SSIM of 0.8007 on the DIV2KRK dataset. The images restored by the proposed algorithm not only exhibit the highest restoration metrics but also superior visual quality.
2025, 44(3):444-450. DOI: 10.11972/j.issn.1001-9014.2025.03.014
Abstract:One of the key areas of advancement in space-based infrared sensing is the high-sensitivity detection of small and weak targets. A major innovation in this regard is the design of the infrared detection system indicator, which is influenced by the characteristics of the target background radiation. The effectiveness of space-based infrared detection is significantly challenged by airborne targets, especially civil aircraft. These targets are active in the upper troposphere and lower stratosphere. They exhibit weak and variable radiation characteristics due to complex background clutter and atmospheric attenuation. Aiming to address this issue, this paper proposes a multi-parameter joint optimization method for an airborne target infrared detection system based on the coupling of the multiple physical effects. Firstly, the initial optimization of the target detection spectral band in the sky is completed based on the spectral radiation characteristics of the target, the background, and the spectral atmospheric transmittance change characteristics of the target-sky-based detection platform. Subsequently, the detection sensitivity requirements are proposed. Then, a system parameter optimization method is established with the target motion speed limit, earth background limit, and detection sensitivity as the three major boundaries. This method facilitates the creation of an infrared detection index system for air targets.
DU Shu-Hao , ZHENG Xian-Tong , JIA Han , CUI Jin-Tao , ZHANG Shi-Ya , LIU Yuan , FENG Yu-Lin , ZHANG Chun-Qian , LIU Ming , ZHANG Dong-Liang
2025, 44(3):451-457. DOI: 10.11972/j.issn.1001-9014.2025.03.015
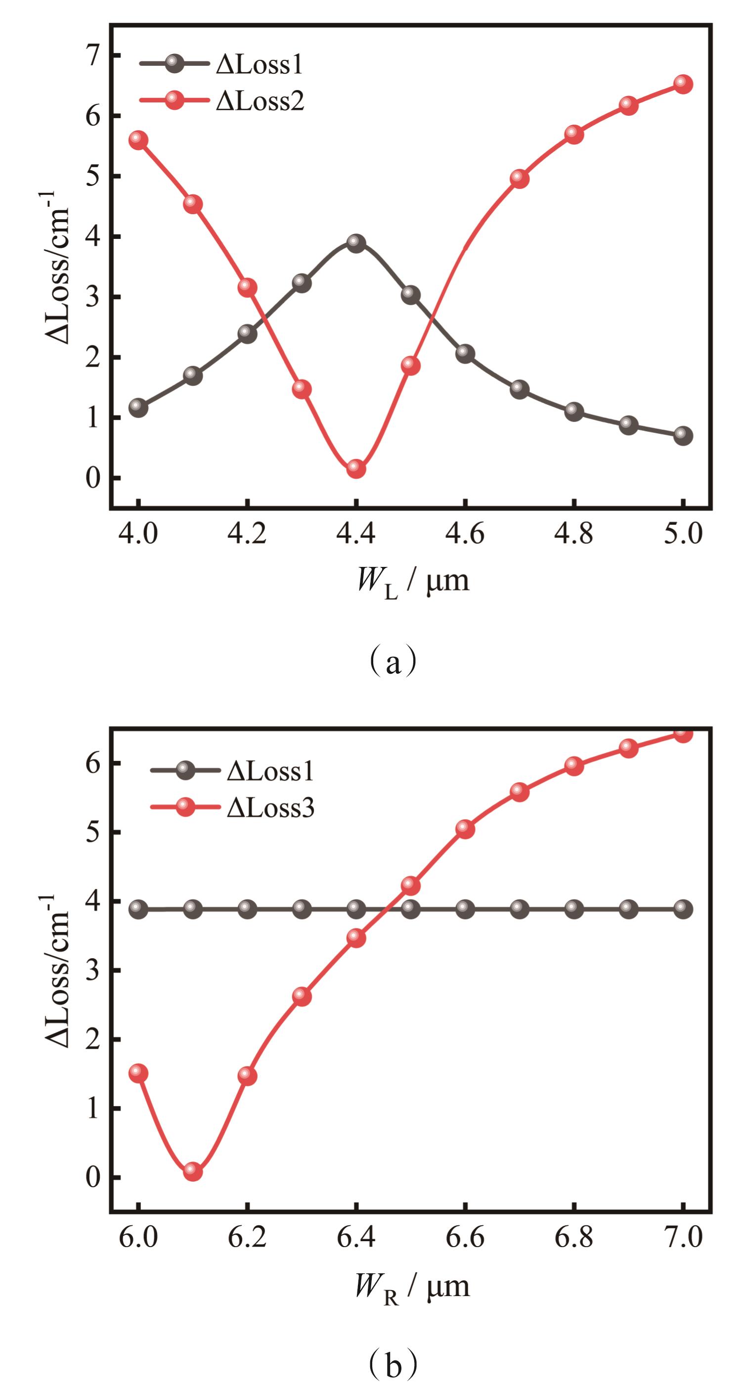
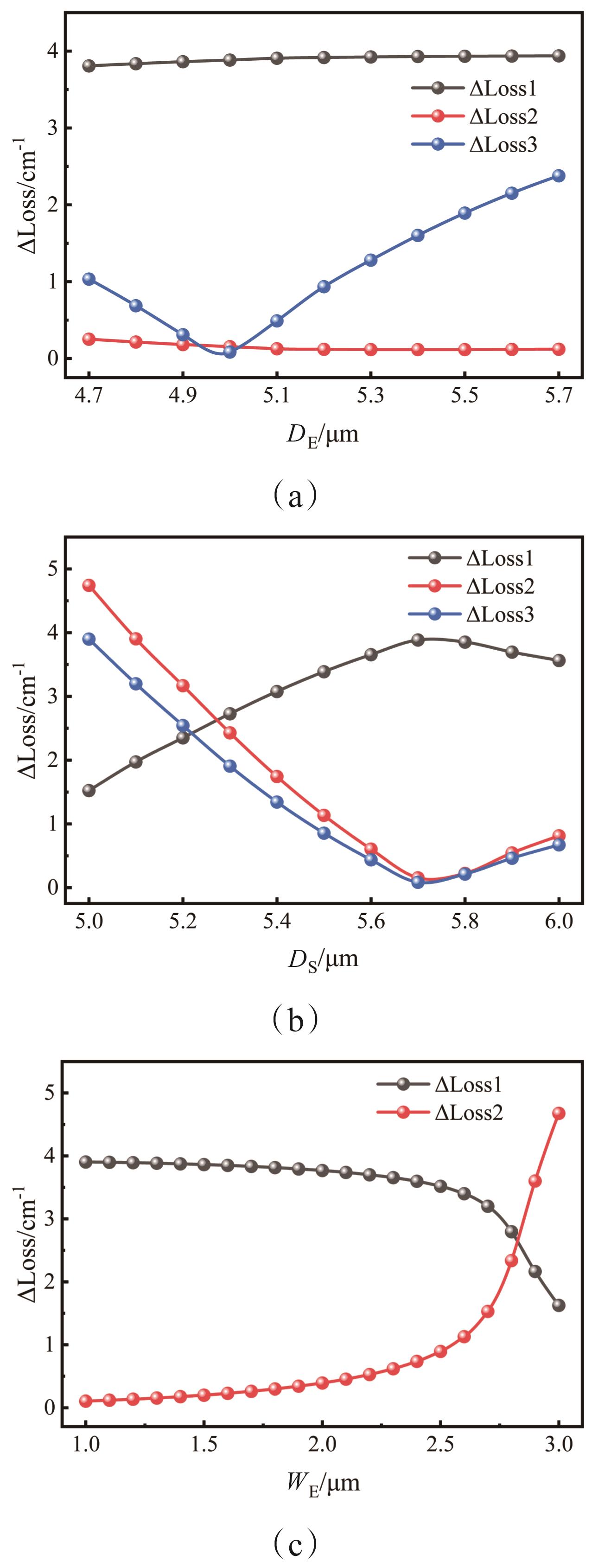
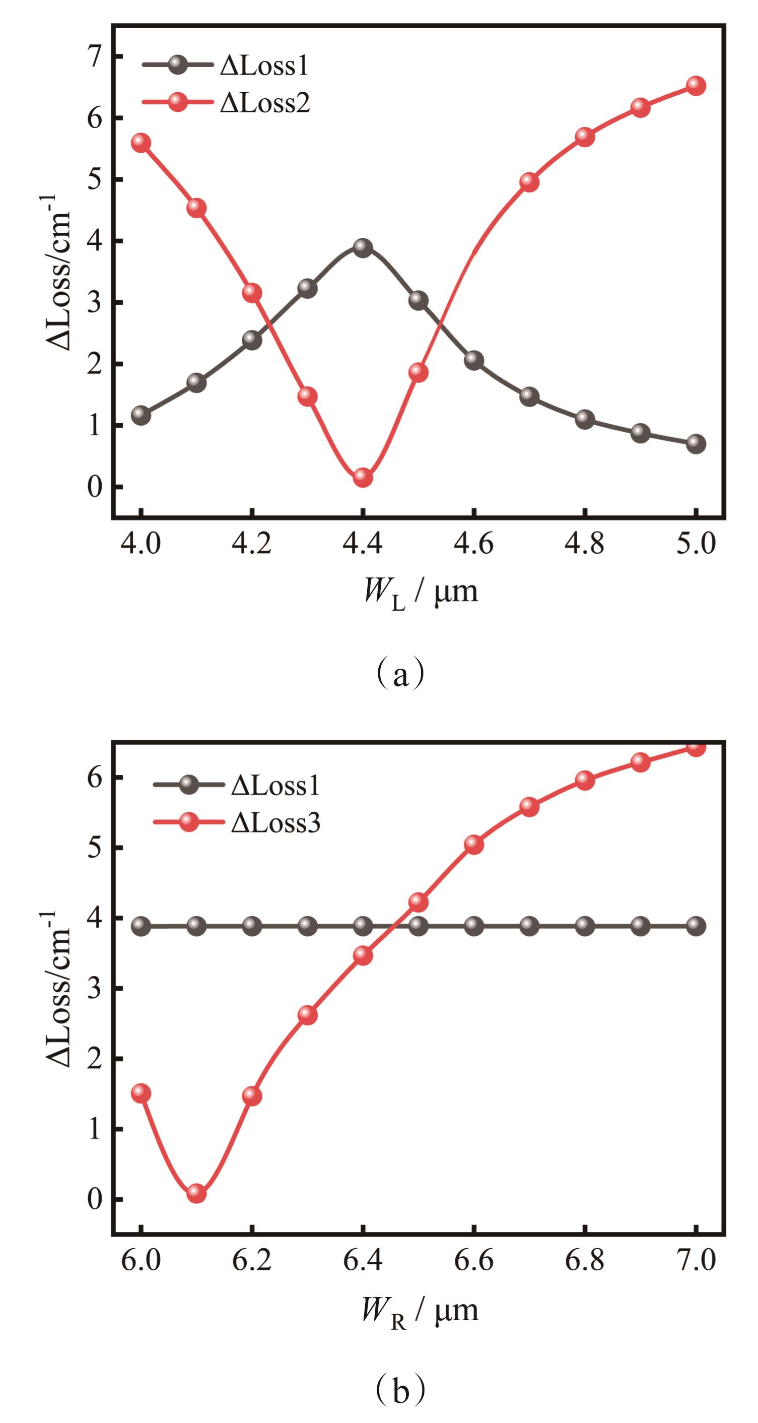
Abstract:In the process of power scaling large-area Quantum Cascade Lasers (QCLs), challenges such as degradation of beam quality and emission of multilobed far-field modes are frequently encountered. These issues become particularly pronounced with an increase in ridge width, resulting in multimode problems. To tackle this, an innovative multi ridge waveguide structure based on the principle of supersymmetry (SUSY) was proposed. This structure comprises a wider main waveguide in the center and two narrower auxiliary waveguides on either side. The high-order modes of the main waveguide are coupled with the modes of the auxiliary waveguides through mode-matching design, and the optical loss of the auxiliary waveguides suppresses these modes, thereby achieving fundamental mode lasing of the wider main waveguide. This paper employs the finite difference eigenmode (FDE) method to perform detailed structural modeling and simulation optimization of the 4.6 μm wavelength quantum cascade laser, successfully achieving a single transverse mode QCL with a ridge width of 10 μm. In comparison to the traditional single-mode QCL(with a ridge width of about 5 μm), the MRW structure has the potential to increase the gain area of the laser by 100%. This offers a novel design concept and methodology for enhancing the single-mode luminous power of mid-infrared quantum cascade lasers, which is of considerable significance.
YE Min-Rui , CUI Wen-Nan , HUANG Xia-Yang , ZHANG Tao
2025, 44(3):458-467. DOI: 10.11972/j.issn.1001-9014.2025.03.016
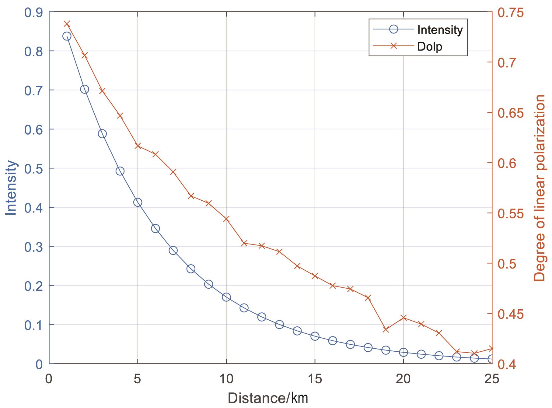
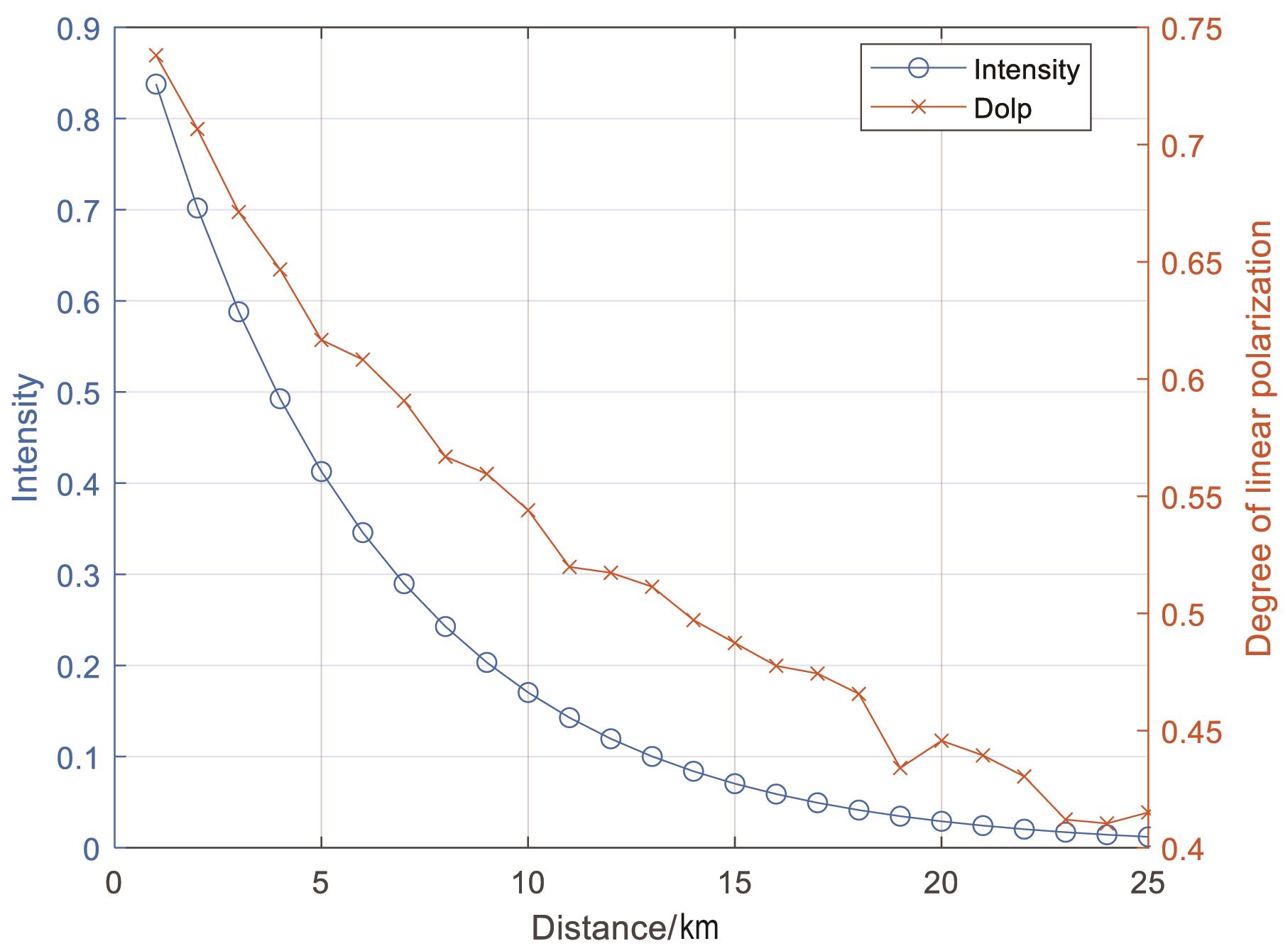
Abstract:The study aims to reveal the detection advantages of infrared polarization imaging systems deployed on aerostat platforms in sea fog conditions. Firstly, based on the polarization bidirectional reflection distribution function, this research analyzes the rule of polarization characteristics varying with observation angles, demonstrating the applicability of infrared polarization in oblique imaging from aerostats. Secondly, by using the Monte-Carlo method and minimum resolvable temperature difference (MRTD) model, the study develops a model to determine the maximum operating distance of infrared polarization imaging systems. This model verifies the superiority of infrared polarization imaging over infrared intensity imaging in terms of maintaining features and detection distance under sea fog conditions. The results provide theoretical analysis and simulation evidence supporting the deployment of infrared polarization technology on aerostat platforms.
YUAN Di-Jian , XU Xin-Ke , LIU Tong , WANG Jin-Wen , DU Yu
2025, 44(3):468-475. DOI: 10.11972/j.issn.1001-9014.2025.03.017
Abstract:Target center positioning is a critical technology in the calibration process of infrared thermal images. Given the relatively complex morphology of target images, we propose a center positioning algorithm based on improved template matching with self-constructed convolution kernels. First, the algorithm constructs a normalized template with target image features and performs matching operations on subsampled and preprocessed target images to obtain coarse positioning results. Based on the coarse positioning center, the original image undergoes region of interest (ROI) fine matching, and further correction is achieved through a subpixel subdivision algorithm. Ultimately, the precise target center position is determined. This algorithm effectively detects target images with blurring and indistinct edge features, avoiding interference from blurring, occlusion, complex backgrounds, or indistinct features. It demonstrates good robustness, accurately positions the target center, and operates at high speed. Compared to traditional template matching methods like cross-correlation (CCORR), normalized cross-correlation (NCC), and Hough transform, it offers significant improvements and meets the positioning requirements in the automatic calibration process of infrared thermal imagers.

Editor in chief:WANG Jian-Yu
International standard number:ISSN 1001-9014
Unified domestic issue:CN 31-1577
Domestic postal code:4-335