
主编:王建宇
国际标准刊号:ISSN 1001-9014
国内统一刊号:CN 31-1577/O4
国内邮发代号:4-335
- 浏览排行
- 引用排行
- 下载排行
叶振华 , 李辉豪 , 刘铭 , 赵俊 , 林春 , 陈建新
2026, 45(1):1-15. DOI: 10.11972/j.issn.1001-9014.2026.01.001
摘要:随着在航天侦察、光电对抗、空间科学等领域的广泛应用,红外探测器正经历从“第三代充分发展”向“第四代探索”的关键转型。面向当前红外探测技术应用的迫切需求,重点探析第四代红外探测器的定义与发展。首先,梳理红外探测器的发展脉络,从功能集成、学科发展、技术演进等方面探讨红外探测器的发展趋势,提出第四代红外探测器的初步定义。其次,论述第四代红外探测器在挑战光强探测极限性能、光场多维信息感知、片上智能化和红外微系统芯片等技术发展的简要思考。最后,展望AI赋能下的红外探测器智能制造生态,加速第四代红外探测器由构想阶段迈向实际应用。
2026, 45(1):16-21. DOI: 10.11972/j.issn.1001-9014.2026.01.002
摘要:采用全固态分子束外延(MBE)技术在InP衬底上生长InGaAsP材料,获得了与衬底之间没有失配位错且界面质量和发光质量较好的1.05 eV的InGaAsP材料。在此基础上,分别在InP衬底上生长InGaAsP单结太阳能电池以及GaAs衬底上生长GaInP/GaAs双结太阳能电池。利用晶圆键合技术将两个分立的电池键合制备成一个GaInP/GaAs/InGaAsP三结太阳电池。在地面光谱AM1.5G (Air Mass 1.5 Global)太阳模拟器下,GaInP/GaAs/InGaAsP晶圆键合太阳电池的转换效率为30.6%, 聚光下获得了34%的效率。研究结果表明,MBE能够生长出材料质量佳的InGaAsP材料,室温晶圆键合技术在制备多结太阳能电池方面具有很大的潜力。
薛凯 , 戎佳敏 , 邢国徽 , 薛俊洁 , 刘文耀 , 周彦汝 , 邢恩博 , 唐军 , 刘俊
2026, 45(1):22-29. DOI: 10.11972/j.issn.1001-9014.2026.01.003
摘要:780 nm激光器频率可以高度匹配并精确锁定到铷(Rb)原子吸收线上,对强相干性和快速可调谐性有着明确的要求,从而在量子计算、精密测量和高灵敏度传感等领域起到关键作用。本文基于自注入锁定线宽压窄效应,得益于回音壁谐振腔超高品质因子,验证了780 nm自注入锁定窄线宽可调谐激光器,并实现十千赫兹量级(23.8 kHz)的单纵模输出。更重要的是,通过优化组合耦合系数K,结合铌酸锂电光效应,有效提高激光器频率失谐度,调谐范围达到110 pm,调谐效率为6.4 pm/V。该研究为近红外范围内应用的快速调谐窄线宽激光器提供了高性能的设计方案,有望在未来发挥重要作用。
屈柏昂 , 郭宏杰 , 杨永康 , 陈文彬 , 张学琛 , 郭文涛 , 谭满清
2026, 45(1):30-35. DOI: 10.11972/j.issn.1001-9014.2026.01.004
摘要:文章介绍了一种前沿性的多功能集成光路(Multifunction Integrated Optic Circuit ,MIOC)设计,该设计基于薄膜铌酸锂,在尺寸、半波电压要求和集成能力方面超越了传统的基于体波导的MIOC。通过实施亚波长光栅结构,实现了超过29 dB的偏振消光比(Polarization Extinction Ratio,PER)。此外,我们的电极设计使电压长度积(VπL)低于2 V·cm,而双锥形耦合结构则显著降低了插入损耗。这一进步为光学陀螺仪的小型化和集成化提供了关键方向,标志着对该领域的重大贡献。
梁凯 , 岳文成 , 许凡 , 朱倩男 , 张建民 , 王书晓 , 蔡艳
2026, 45(1):36-41. DOI: 10.11972/j.issn.1001-9014.2026.01.005
摘要:介绍了一种基于相变材料 Sb2Se3 的宽带、高消光比、非易失的 2×2 马赫-增德尔干涉仪(MZI)型光开关。在波长为 1 550 nm 时,插入损耗 (IL) 为 0.84 dB,消光比 (ER) 达到 28.8 dB。器件的3 dB 带宽大于 150 nm。在 3 dB 带宽内,直通态和交叉态的消光比分别大于 20.3 dB 和 16.3 dB。Sb2Se3的晶化和非晶化功耗分别为 105.86 nJ 和 49 nJ。该宽带高消光比非易失性光开关在光互连和光计算中有极大的应用潜力。
2026, 45(1):42-50. DOI: 10.11972/j.issn.1001-9014.2026.01.006
摘要:本文基于双2π模式的多模工作机制,提出了一种新型的双频段毫米波扩展互作用速调管放大器(EIKA)。该设计由宽带行驻波模式输入腔和双2π驻波模式输出腔构成,形成紧凑的慢波结构设计,总电路长度约为24 mm。粒子仿真结果表明,在15.6 kV、1 A的电子束和0.6 T的均匀磁场作用下,该器件在93.76~94.96 GHz的1.20 GHz带宽可以达到183~1 024 W的输出功率。值得注意的是,它可以实现低2π和高2π频段的双频输出,在-3 dB带宽分别为0.33 GHz和0.20 GHz的情况下,最大增益为37.09 dB (93.90 GHz时为1 024.10 W)和35.75 dB (94.84 GHz时为752.20 W)。通过微扰法-冷测实验,得到了典型的双2π模场分布曲线,进一步验证了双2π模设计的有效性。
刘远 , 许永姜 , 赖志鸿 , 沈云 , 杨思嘉 , 邓晓华
2026, 45(1):69-76. DOI: 10.11972/j.issn.1001-9014.2026.01.008
摘要:拓扑半金属材料由于其独特的电子结构和非平凡特性受到了广泛的关注,不仅为反常霍尔效应、拓扑相变和负磁阻等物理现象的研究提供了土壤,同时为突破“THz Gap”提供了机会。本文基于Ⅱ型外尔半金属四碲铱铌 (NbIrTe4) 的太赫兹探测器在室温下具有4.36 A/W的响应度,12.34 pW/Hz1/2的噪声等效功率和32的各向异性电阻比。研究为室温下实现高效的太赫兹探测提供了一种思路,同时为外尔半金属的研究提供了一些参考。
高青松 , 李得天 , 陶院 , 杨雷 , 张虎忠 , 马动涛 , 彭苗苗 , 金铭 , 郭强 , 江世臣 , 李一楠 , 程春悦 , 李雪
2026, 45(1):77-89. DOI: 10.11972/j.issn.1001-9014.2026.01.009
摘要:针对星载微波辐射计热定标源的亮温校准应用需求,基于定标源吸波涂层温梯特性和亮温偏差产生机理,结合工程可实施的温度测量方法和实验手段,研究可在轨应用的亮温计量校准技术方案。基于当前定标源高发射率设计和测定技术基本完善的背景,重点研究归纳了定标源涂层温梯特性的测定方法,目标构建在轨可用的,以定标源金属内锥温度测值、定标源辐射口面附近温度测值等多参量输入的亮温校准技术。基于可行的电磁仿真技术、热仿真技术、铂电阻和红外温度测量技术,初步归纳了星载定标源亮温校准技术体系的实现路径,即首先构建考虑均匀背景亮温的亮温校准基本模型,完善从定标源内锥和等效背景亮温到涂层纵向温梯的映射关系;进而构建考虑安装环境的亮温校准应用模型,完善从定标源内锥和辐射口面附近温度测值到定标源亮温偏差的映射关系;最后讨论亮温校准模型的验证和应用。星载定标源亮温校准研究,是进一步提高定标源亮温准确度、乃至发展空间微波辐射测量基准的关键技术基础和参考。
2026, 45(1):90-96. DOI: 10.11972/j.issn.1001-9014.2026.01.010
摘要:超表面是一种在亚波长尺度上精细调控电磁波特性的人工结构,广泛应用于操纵光的传播、相位、振幅和极化等特性。在这项工作中,提出了一种基于金属超表面的连续域束缚态(BIC)结构。通过使用CST和COMSOL两款软件对金属结构进行调整,能够在0.8217 THz的频率下实现显著的准BIC峰值。通过多级展开分析发现,电偶极子是该结构共振特性的主要因素。利用BIC的特性创建并运行了成像系统。根据仿真结果,该成像系统表现出了出色的灵敏度和分辨率,显示出太赫兹成像的巨大潜力。这项研究不仅为BIC结构的创建提供了新的想法,而且为高性能太赫兹成像技术的发展提供了有效的参考。
2026, 45(1):97-102. DOI: 10.11972/j.issn.1001-9014.2026.01.011
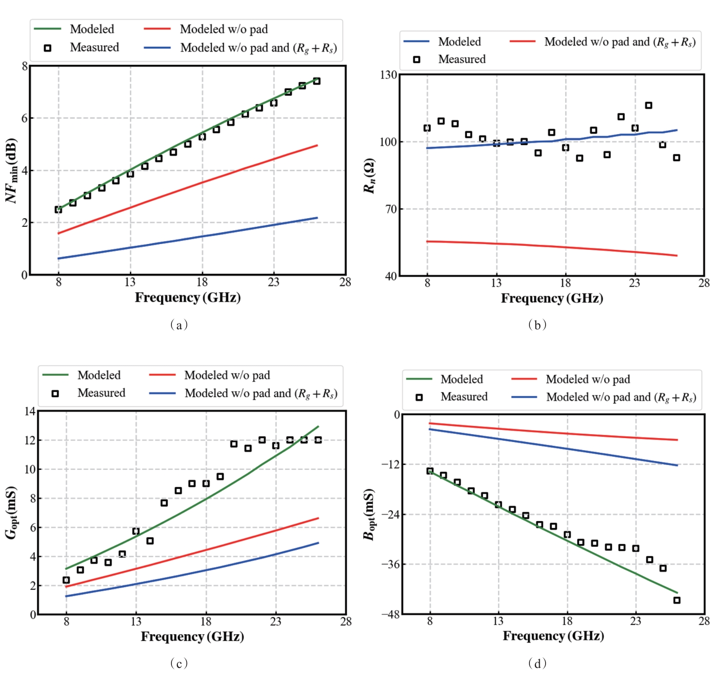
摘要:本文采用噪声相关矩阵法,研究了外电路电阻对深亚微米 MOSFET噪声性能的影响。基于小信号等效电路模型和噪声等效电路模型,推导得到了四个噪声参数的解析闭合表达式。对于栅长40 nm、尺寸为 4×5 μm(栅指数量 × 单位栅宽)的 MOSFET,仿真结果与实验数据表现出良好的一致性。
2026, 45(1):103-115. DOI: 10.11972/j.issn.1001-9014.2026.01.012
摘要:遥感多模态大语言模型融合了丰富的视觉语言模态信息,在遥感图像分析和解译等领域中展现出巨大潜力。然而,现有的知识蒸馏方法多聚焦于单模态大语言模型的压缩,忽视了各模态间的特征对齐,因而阻碍了大语言模型在跨模态任务中的性能表现。针对上述问题,提出一种基于知识蒸馏的遥感多模态大语言模型轻量化方法,通过在特征层对齐各模态的输出,实现了多模态信息的有效对齐;通过引入反向Kullback-Leibler散度作为损失函数,并结合教师混合采样和单步分解的优化策略,进一步提升了学生模型的泛化性与稳定性。实验结果表明,本文方法在遥感图像的场景分类、视觉问答、视觉定位与图像描述四种下游任务上实现了更高的准确性与效率,同时显著减少了模型参数量和对计算资源的需求,为多模态大语言模型在遥感领域的高效应用提供了新的解决方案。
2026, 45(1):116-124. DOI: 10.11972/j.issn.1001-9014.2026.01.013
摘要:热调制器是光通信系统的关键组件,其性能直接影响系统效能。随着硅基光电子技术的发展,硅基热光调制器在光电芯片得到广泛应用。传统硅基调制器尺寸大、损耗高。近年来,研究者提出利用光子晶体的慢光效应缩小调制器尺寸,相关研究显示这些器件具有小尺寸和低驱动电压等优点。但基于光子晶体实现的热光调制器依然无法避免加工误差带来的缺陷对光传输的影响。能谷光子晶体光波导能够实现散射免疫的高效率单向光传输,为实现高性能光子学器件提供了新思路。本文设计了新型基于能谷光子晶体马赫曾德干涉仪(MZI)的硅基热光调制器,在MZI的其中一条波导上引入电压加热金属机制,通过热光效应调制折射率,实现对输出信号的精确调制,该热光调制器器件面积仅为9.26 μm × 7.99 μm,可实现0.91的高正向透射率、0.41 dB插入损耗和11.75 dB调制对比度,并可以使用互补金属氧化物半导体(CMOS)进行实验加工,因此具有广泛的应用前景。该调制原理可以广泛应用于设计不同的热光调制器件。
宋俊玲 , 饶伟 , 王林妍 , 朱晓辉 , 王殿恺 , 冯高平
2026, 45(1):125-136. DOI: 10.11972/j.issn.1001-9014.2026.01.014
摘要:高性能的氧气探测装置可以实现对发动机内部氧气浓度、速度等参数的实时在线监测,确保发动机处于最优的工作状态。在超燃冲压发动机、航空发动机等发动机流场测试中,高温高压高速复杂的流场环境和有限的测量空间给高性能流场诊断带来挑战。研制了基于腔增强吸收光谱的氧气组分浓度测量装置,装置采用嵌入式光学探头结构,并在发射端和接收端设计了用于系统光路调节与对准的多向调节装置,便于工程实验。实验结果表明:在静态环境下系统测量氧气的组分浓度为(20.846±0.97)%,测量值与参考值保持了较好的一致性;在激波管实验中,由于激波管工作时的振动和气流冲击影响了系统对氧气浓度的测量精度,测量系统捕获到正激波到达前、正激波经过反射激波未到达和反射激波经过三种状态,测量结果与理论预测结果趋势相吻合。
2026, 45(1):137-147. DOI: 10.11972/j.issn.1001-9014.2026.01.015
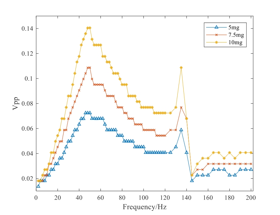
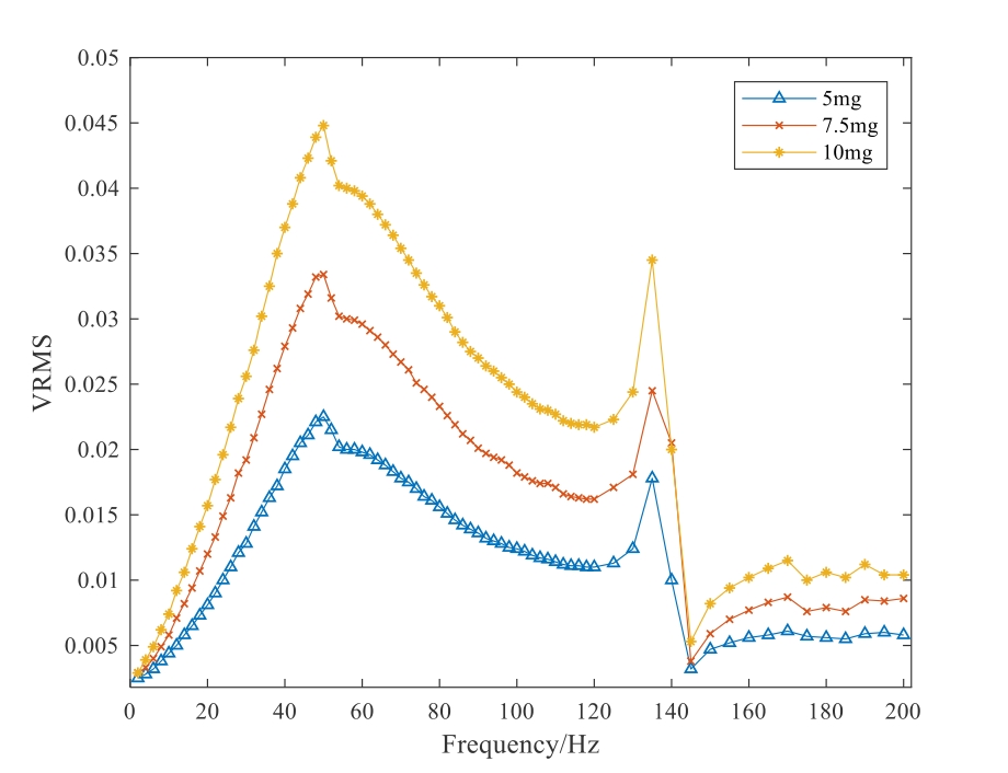
摘要:傅里叶变换光谱仪是一种精密的红外探测仪器,它采用迈克尔逊式干涉分光方式,动镜是其中一个核心部件。动镜运动速度的均匀性和稳定性直接影响了后续干涉图的质量,所以必须对动镜进行高精度的运动控制。对于某些动镜低速应用场合的傅里叶光谱仪,常规的M法测速已经不能满足测速精度的要求了。另外,动镜低速运动时,速度稳定性更容易受外界力学扰动的影响。基于动镜低速运动的平稳性需求,文中对基于T法测速的动镜运动控制技术进行了研究,提出了求取速度实测值和速度期望值的高精度算法,并通过建立被控对象的数学模型和动力学方程,得到速度前馈控制量,进而设计了基于速度前馈的复合速度控制器。该设计的动镜速度控制算法由FPGA硬件平台实现,并应用于傅里叶光谱仪实验平台。实验结果表明,采用T法测速控制系统获得动镜运动匀速区速度峰峰值误差是0.0182,速度均方根值误差是0.0027。为测试文中动镜速度控制系统的抗干扰能力,在干涉仪安装平台动镜运动方向分别施加5 mg、7.5 mg、10 mg的正弦激励力,在每个给定量级的激励力下,进行了2~200 Hz频率范围内各频率点的扫描,实验结果表明,速度峰峰值误差和速度均方根值误差和正弦激励的幅值基本成正比例关系。在5 mg时各频率点的力学激励下,速度峰峰值误差最大是0.0724,速度均方根值误差最大是0.0225。从光谱稳定度和红外焦平面探测器采样间隔误差综合分析,5mg量级时的动镜速度均匀性可以满足系统这两方面需求,使得傅里叶光谱仪在微振动环境应用时也具有一定的抗干扰能力。该设计为傅里叶光谱仪低速高平稳性动镜速度控制的实现提供了一种技术途径,同时也使得傅里叶光谱仪有了更广阔的应用场景。
王瀚霆 , 狄云翔 , 齐星宇 , 沙英哲 , 王亚辉 , 叶凌枫 , 唐唯译 , 巴坤 , 王旭东 , 黄张成 , 褚君浩 , 沈宏 , 王建禄
2026, 45(1):148-156. DOI: 10.11972/j.issn.1001-9014.2026.01.016
摘要:近红外图像传感器广泛应用于材料识别、机器视觉和自动驾驶等领域。基于硫化铅胶体量子点的红外光电二极管可以通过单一步骤与基于硅的读出电路集成。基于此,提出了一种基于n-i-p结构的光电二极管,去除了缓冲层,进一步简化了量子点图像传感器的制造工艺,从而降低了制造成本。此外,对于量子点图像传感器在捕获图像时的噪声复杂性,传统的去噪和非均匀性校正方法往往无法达到最佳去噪效果。针对红外量子点探测器图像中常见的噪声和条纹型非均匀性,开发了一种包含多个关键模块的网络架构。该网络结合了通道注意力和空间注意力机制,动态调整特征图的重要性,以增强区分噪声和细节的能力。同时,残差密集特征融合模块通过分层特征提取和融合,进一步提高了网络处理复杂图像结构的能力。此外,金字塔池化模块有效地捕捉不同尺度的信息,提高了网络的多尺度特征表示能力。通过这些模块的协同作用,网络能够更好地处理各种混合噪声和图像非均匀性问题。实验结果表明,它在去噪和图像校正任务中优于传统的U-Net网络。
刘保剑 , 李大琪 , 段微波 , 余德明 , 蔡清元 , 于天燕 , 蒋林 , 杨雨婷 , 庄秋慧 , 郑玉祥
2026, 45(1):157-165. DOI: 10.11972/j.issn.1001-9014.2026.01.017
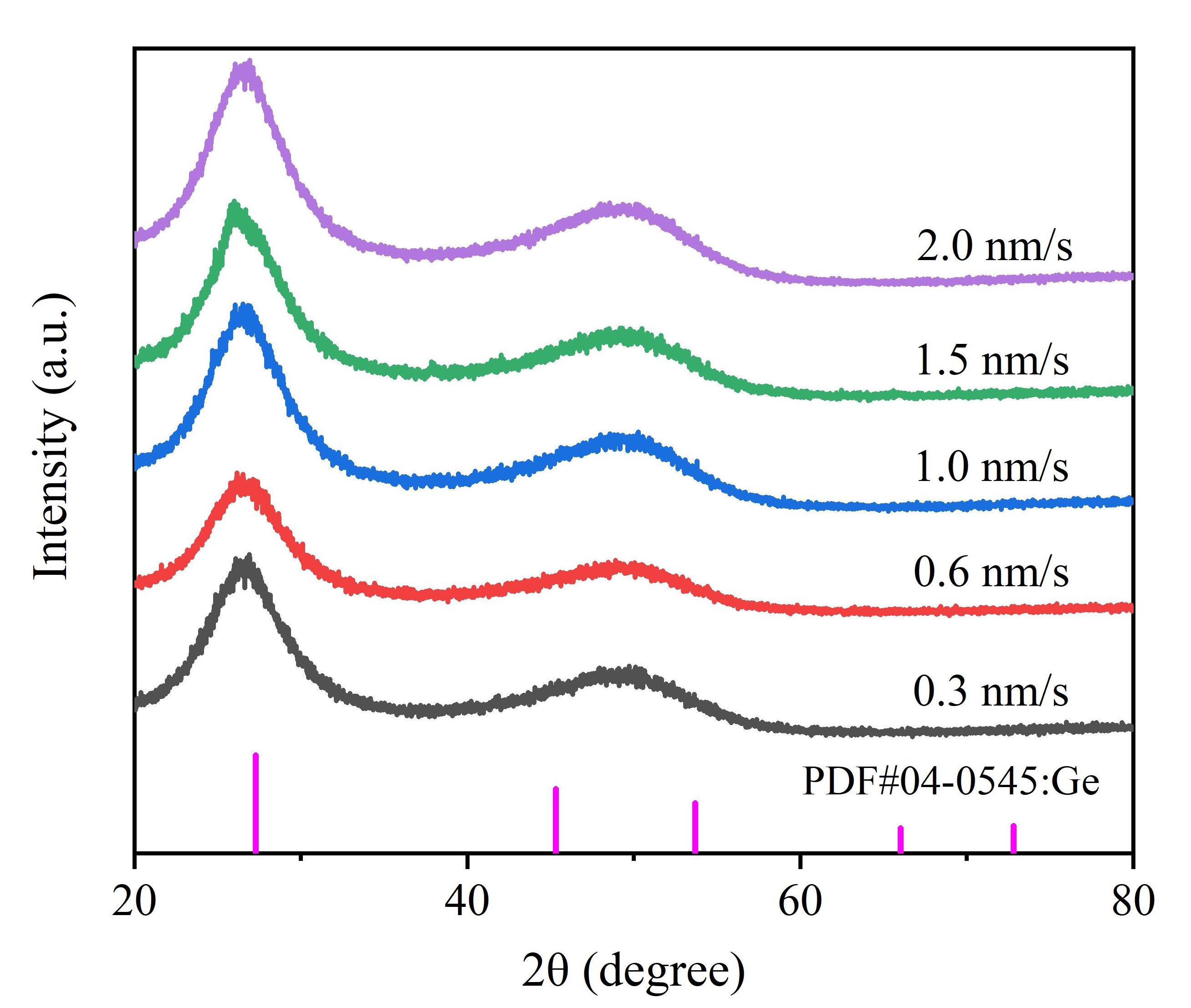
摘要:本文系统研究了沉积速率对锗(Ge)薄膜微观结构、宽波段光学特性(1.0~13.0 μm)及应力特性的影响,并提出了一种基于Ge薄膜速率调制沉积的红外滤光片性能提升方法。结果表明,通过调控沉积速率可有效降低Ge薄膜在短波红外、长波红外波段的光学吸收。研究发现,随着沉积速率的提高,Ge薄膜保持非晶态结构。在光学常数表征方面,分别采用Cody-Lorentz模型和经典Lorentz振子模型精确计算了Ge薄膜在1.0 ~2.5 μm和2.5 ~13.0 μm波段的光学常数。随着沉积速率的提升,Ge薄膜折射率逐渐增大;在短波红外波段,Ge薄膜消光系数随沉积速率增加而上升,这是由于Urbach尾部展宽所致;而在长波红外波段,消光系数则随沉积速率增加而降低,主要归因于Ge-O键伸缩振动所导致的光学吸收强度在逐渐降低。此外,薄膜的拉伸应力随沉积速率升高而减小。最后,通过实例验证了所提出的基于Ge薄膜速率调制沉积提升红外滤光片性能方法的有效性。本文为Ge薄膜在高性能红外滤光片中的应用提供了理论依据和技术支撑。
2026, 45(1):166-181. DOI: 10.11972/j.issn.1001-9014.2026.01.018
摘要:红外偏振图像融合能够充分利用场景的偏振信息,弥补红外强度图像在描述场景轮廓边缘、纹理细节等高频信息上的劣势,在目标探测识别、抑制背景噪声和反伪装方面具有独特优势。文章分别从单一算法图像融合和多算法组合图像融合两方面综述了红外偏振图像融合技术的研究进展,分析了典型算法的设计思路,归纳了各算法的优缺点。针对当前红外偏振图像融合以单一算法为主流,多算法组合为发展趋势的特点,展望了其未来可能的发展方向。
2026, 45(1):182-194. DOI: 10.11972/j.issn.1001-9014.2026.01.019
摘要:飞行器尾迹的检测对维护空域安全以及应对航空业产生的温室效应具有至关重要的作用。现有飞行器尾迹的检测方法多基于多光谱图像中特定通道之间的辐亮度差或温差进行,对光谱特征的利用不足。国内外星载高光谱成像技术的发展,为利用星载高光谱图像数据进行飞行器尾迹的可识别性检测提供了新的数据基础。然而,仅依赖图像的空间或光谱单一维度进行检测的方法,难以在星载高光谱图像飞行器尾迹检测任务中取得理想效果。因此,针对高分五号可见短波红外高光谱相机(GF-5 AHSI)采集的短波红外高光谱图像,开展了潜在飞行器尾迹的检测算法研究。提出了一种空间-光谱特征提取方法,充分利用了高光谱图像空间与光谱信息的互补特性。在高分五号高光谱图像数据上实现了97%以上的准确率,2%以下的虚警率。不仅为飞行器尾迹检测提供了一种创新性的技术手段,也为后续研究者提供了有价值的参考思路,推动了高光谱图像在实际应用中的进一步发展。

主编:王建宇
国际标准刊号:ISSN 1001-9014
国内统一刊号:CN 31-1577/O4
国内邮发代号:4-335