
主编:褚君浩
国际标准刊号:ISSN 1001-9014
国内统一刊号:CN 31-1577/O4
国内邮发代号:4-335
- 浏览排行
- 引用排行
- 下载排行
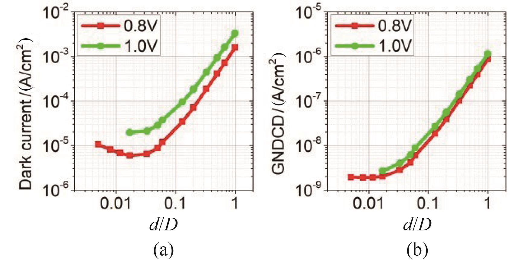
廖科才 , 黄敏 , 王楠 , 梁钊铭 , 周易 , 陈建新
2025, 44(2):144-152. DOI: 10.11972/j.issn.1001-9014.2025.02.001
摘要:探测器灵敏度是红外探测器的核心技术指标。短波红外探测器暗电流低,其探测灵敏度受到探测系统固有的读出电路噪声限制,而在探测器中引入内增益是进一步提升探测灵敏度的有效途径。异质结光电晶体管具有高增益、低工作偏压和低过剩噪声等优点,为高灵敏探测的实现提供了新的途径。本文主要针对InGaAs/GaAsSb II类超晶格短波红外光电晶体管展开了仿真设计,研究了不同器件尺寸结构与器件光电特性之间的影响关系。结果显示,更小的基区尺寸能实现更高的电流增益、更低的暗电流和更短的响应时间。基于器件尺寸结构的优化设计,可以获得噪声等效光子数优于10的探测灵敏度,为实现高灵敏度异质结光电晶体管探测器提供了新的技术途径。
李国彬 , 胡坤 , 张泰玮 , 杨奥 , 夏溢坪 , 李学铭 , 唐利斌 , 杨培志 , 王善力 , 陈晟迪 , 杨丽 , 张艳
2025, 44(2):153-160. DOI: 10.11972/j.issn.1001-9014.2025.02.002
摘要:量子点薄膜的制备和光学常数的准确测定对推动量子点在光电领域的应用发展具有重要意义。目前,对于通过机械剥离法和化学气相沉积法制备的二碲化钼(MoTe?)单晶薄膜,其光学常数表征技术已较为成熟;然而,关于2H-MoTe?量子点薄膜的光学常数研究仍鲜见报道。采用超声辅助液相剥离的方法制备出2H-MoTe2量子点,并通过改变辅助溶剂的种类与超声顺序,成功制备了两种尺寸的MoTe2量子点;基于椭圆偏振光谱技术,采用B-spline模型和Tauc-Lorentz模型分别研究了两种尺寸量子点薄膜的折射率、消光系数与介电常数等光学常数。结果显示,两种尺寸的2H-MoTe2量子点在可见光到红外波段内具有相近的折射率、消光系数和较宽的光谱吸收区,并且与MoTe2体材料相比,具有较低的介电常数。
梅雪晗 , 陈翔 , 徐港 , 杨元忠 , 张仲 , 雷诚 , 李胜 , 王行环 , 王度
2025, 44(2):161-167. DOI: 10.11972/j.issn.1001-9014.2025.02.003
摘要:波长2 μm附近的激光位于大气传输窗口和水的强吸收峰,在医疗、激光雷达、材料加工以及中红外泵浦源等方面具有重要应用。掺铥光纤激光器(thulium-doped fiber laser, TDFL)是一种可在2 μm波长获得高功率输出的重要光源。本文针对准连续(quasi-continuous wave, QCW)TDFL中的弛豫振荡和模间四波混频问题,通过增加偏置电流、优化增益光纤长度以及改变光纤盘绕直径等方案,优化了激光器的时域及频域输出特性,并探究了不同增益光纤结构对光纤传输模式的影响。研制的QCW-TDFL在脉宽为100 μs、重复频率为1 kHz、占空比为10%的情况下,在中心波长为1 939.2 nm时,实现了峰值功率为894 W、平均功率为89.4 W的输出,并获得了稳定可控的脉冲输出波形和光谱特性。
2025, 44(2):168-176. DOI: 10.11972/j.issn.1001-9014.2025.02.004
摘要:连接毫米波雷达芯片和天线的微带传输线对天线的辐射效率和带宽有重要影响。本文提出了一种适用于汽车雷达频率范围内复杂阻抗匹配的宽带非均匀微带线。与渐变传输线不同,波浪形传输线由周期性的半圆短段组成。通过调整半圆的半径,表面电流产生变化并且集中在半圆部分,从而获得更宽的谐振频率可调范围。结果表明,加载波浪线毫米波雷达天线的带宽提高到9.37 GHz,比加载渐变线宽5.81 GHz。加载波浪传输线后天线的增益为14.69 dB,半功率波束宽度约为9.58°。本文提出的非均匀微带线方案为实现毫米波雷达扩展宽带的应用提供了重要的思路。
董陈岗 , 施卫 , 韩小卫 , 王志全 , 王欣 , 张修兴
2025, 44(2):177-183. DOI: 10.11972/j.issn.1001-9014.2025.02.005
摘要:光电导天线阵列作为太赫兹辐射的重要发射器件,传统天线因固定偏振状态而限制了其应用的灵活性。针对这一问题,设计并研究了一种偏振可调的四元太赫兹砷化镓光电导天线阵列,旨在增强其在应用中的多功能性和适用性。该天线阵列通过精细控制阵元的激励方式,采用同相不等幅激励和90°相差激励两种方式,实现线偏振和圆偏振太赫兹波的精确调控。结果表明,采用同相不等幅激励时,实现了线偏振太赫兹波在360°范围内的灵活调控;采用90°相差激励时,产生了圆偏振太赫兹波,其
刘志成 , 周静涛 , 孟进 , 魏浩淼 , 杨成樾 , 苏永波 , 金智 , 贾锐
2025, 44(2):184-191. DOI: 10.11972/j.issn.1001-9014.2025.02.006
摘要:报道了一种用于太赫兹电路设计的线性优化方法,以提高仿真效率,缩短整个电路设计流程的时间。该方法通过谐波平衡仿真来快速得到在相应带宽内二极管的最佳效率的嵌入阻抗,然后通过该阻抗进行线性匹配电路的优化,从而将倍频电路的线性部分与非线性部分的仿真分离,极大地提高了仿真速度。片上线性匹配电路设计采用分块电路设计的方法,引入了固定负载电阻以简化匹配问题。基于该方法设计了一款340 GHz二倍频器并进行了验证。测试结果显示,在330 GHz到342 GHz的带宽内,倍频器的效率在10%以上,输入功率的范围在98 mW到141 mW之间,输出功率在13 mW以上。当输入功率为141 mW,在334 GHz处测得峰值输出功率为21.8 mW,对应的效率为15.8%。
闻道远天 , 赵海艇 , 刘向锋 , 徐卫明 , 许学森 , 雷欣瑞 , 舒嵘
2025, 44(2):192-202. DOI: 10.11972/j.issn.1001-9014.2025.02.007
摘要:月面物质中的水可以促进月球地质和环境的演变,并为月球资源利用提供所需的条件。由于月球遥感探测手段存在分辨率低的缺点,使获得水冰的直接证据或确定水冰的赋存形态存在困难。激光拉曼光谱具有无需光照、无需样品预处理且可无损地获得月岩和矿物以及水体的指纹信息的优势,能为月面物质的类型、分布范围甚至含量提供直接有利的信息。本文利用拉曼光谱法对典型月岩/矿物以及吸附水、冰、结晶水和羟基结构水等形态的含水特征进行检测,并对水体含量进行定量分析。首先,利用532 nm激光显微拉曼对月面典型矿物和模拟月壤中多种形态的水进行含水信号识别与特征分析。其次,检验并分析了模拟月壤中吸附水、结晶水和羟基结构水的检测限,及其含量与信号强度间存在的规律。然后,利用岭回归、偏最小二乘回归、线性回归对模拟月壤中三种形态水的不同含量进行定量分析。实验结果表明,能明确识别月壤模拟物中四种形态水的特征谱峰,其中模拟月壤组分和水体的峰位分布区域分别位于100~1 700 cm-1和2 600~3 900 cm-1,且水体的特征谱峰体现为不同比例的氢键OH的宽包络峰和无氢键OH伸缩振动尖峰的组合;模拟月壤中吸附水、结晶水(MgSO4·7H2O)、羟基水(Al2Si2O5(OH)4)检测下限分别为1.3 wt%,0.8 wt%和0.3 wt%;模拟月壤中含水谱峰强度与含水量之间呈线性关系,利用线性回归、岭回归和偏最小二乘回归定量分析的均方根误差分别为1.75 wt%、1.16 wt%和1.19 wt%。
周汝佳 , 夏清 , 郑琼 , 朱丽红 , 李建华 , 李斌 , 宋佳
2025, 44(2):203-210. DOI: 10.11972/j.issn.1001-9014.2025.02.008
摘要:利用遥感瞬时影像提取海岸带潮滩时,受潮汐影响导致空间分布提取准确性低。以削弱潮汐影响为目的,提出一种联合时序Sentinel-2影像与潮滩指数的海岸带潮滩提取方法。首先,基于Sentinel-2时间序列影像,利用分位数合成法生成高、低潮影像,分析不同地类在高、低潮影像上的光谱反射率特征,构建一种可排除潮汐瞬时干扰的近红外波段潮滩提取指数;将影像光谱与潮滩提取指数输入到机器学习算法中,实现潮滩的快速、高效提取。此外,研究讨论了潮滩指数的可分离性及方法的普适性。结果表明:构建的潮滩提取指数对潮滩具有较好的可分离性,潮滩提取总体精度为93.02%,Kappa系数为0.86,提出的方法对含有近红外波段的遥感影像均具有良好的适用性,能够实现自动、快速的潮滩提取,为海岸带资源的可持续管理和保护提供数据支持。
胡佩纶 , 陈育伟 , Mohammad Imangholiloo , Markus Holopainen , 王一程 , Juha Hyypp?
2025, 44(2):211-216. DOI: 10.11972/j.issn.1001-9014.2025.02.009
摘要:城市树种可为城市提供各种基本的生态系统服务,如调节城市温度、隔离噪音、固定碳以及减轻城市热岛效应。这些服务的质量受到物种多样性、树木生长状况以及树木分布和组成的影响。传统上,有关城市树木的数据都是通过实地数据收集和人工解读遥感图像收集的。在这项研究中,我们评估了使用多光谱机载激光扫描(ALS)数据对芬兰Espoo市24种常见城市路边树种进行分类的能力。利用树冠结构信息、强度特征和光谱信息进行分类。使用了 8 种不同的机器学习分类算法,其中 Extra Tree (ET) 的性能最佳,其使用多光谱激光雷达数据的总体准确率为 71.7%,这表明在集成一体的高光谱激光雷达中扫描结合结构和光谱信息可以提高分类准确率。未来,我们的重点将是确定物种分类中最重要的特征,并找到效率更高、准确率更高的算法。
2025, 44(2):217-225. DOI: 10.11972/j.issn.1001-9014.2025.02.010
摘要:针对高光谱亚像元空中航空器探测时受复杂背景影响而产生的低探测率、高虚警率问题,提出一种基于航迹云提议的高光谱遥感图像空中航空器探测方法。首先,基于高光谱语义分割模型搜索航迹云,利用航迹云提议航空器像元区域,减少无效搜索范围,抑制虚警;其次,提出一种基于字典学习和半盲非负矩阵分解的端元提取算法,有效提升混合像元航空器端元提取精度;最后,在国产高分五号高光谱遥感卫星图像数据集上开展实验验证。结果表明本文提出的算法能够在复杂场景下有效抑制虚警,显著提高亚像元空中航空器的探测率和探测精度。
张振午 , 王宁 , 马灵玲 , 张贝贝 , 赵永光 , 李婉
2025, 44(2):226-240. DOI: 10.11972/j.issn.1001-9014.2025.02.011
摘要:传感器入瞳处接收到的中红外波段能量包含反射的太阳能量与地物自身的发射能量。通常该波段反射的太阳能量很弱,但在海面太阳耀光区域的特定情况下,被中红外通道探测到的反射太阳能量是比较可观的。目前,关于太阳耀光物理模型在中红外波段的应用尚不明确。基于此,研究不同可见光与短波红外的太阳耀光模型应用在中红外波段上的精度,以评估其适用性。文章选取了Breon-Henriot模型、Ebuchi-Kizu模型和Wu模型三种模型,首先对不同太阳耀光模型的敏感性进行评估。随后,利用经过筛选的四幅MODIS太阳耀光影像作为数据源,结合与卫星数据相匹配的ERA5再分析数据计算大气参数。通过三种模型计算出海面反射的太阳辐射强度,并进一步利用中红外辐射传输模型验证各模型的精度。结果显示,Breon-Henriot模型与MODIS测量值的相关系数和均方根误差总体上表现最好。该结果不仅拓展了太阳耀光模型在中红外波段的应用范围,还进一步完善了中红外正向模型体系,为中红外辐射传输提供新的理论支撑,提升中红外遥感产品在气候变化监测和海表温度动态分析中的应用效能和准确性。
黄善杰 , 赵劲松 , 王岭雪 , 宋腾飞 , 许方宇 , 蔡毅
2025, 44(2):241-257. DOI: 10.11972/j.issn.1001-9014.2025.02.012
摘要:金属、光学镜面、硅晶圆等光滑物体一般具有极低的辐射率和较高的反射率,被称为低辐射率物体。微弱的低辐射率物体自身辐射会被其表面反射的环境辐射淹没。低辐射率物体的红外测温一直是红外测温领域的一个难题。随着金属冶炼、太阳望远镜热控、半导体生产等领域对低辐射率物体非接触测温需求的不断增长,人们提出了大量用于低辐射率物体的红外测温方法。文章首先阐述了低辐射率物体红外测温的难点,并将目前用于低辐射率物体的测温方法归纳为五类。然后,综述了每种测温方法的基本原理和技术路线,并详细分析了每种测温方法的优缺点。最后对低辐射率物体测温可能的发展方向进行了展望。
2025, 44(2):258-264. DOI: 10.11972/j.issn.1001-9014.2025.02.013
摘要:大型航空器的高度信息在航空安全和空域资源管理等方面有重要意义,目前仅依靠被动遥感手段难以获取大型航空器高度信息。通过结合大气特性反演和高灵敏度红外探测技术,天基遥感平台可实现对目标热辐射信息的精确测量,具备对航空器特征信息进行定量化观测的潜力。提出了一种基于红外多通道特征匹配的大型航空器估计方法。第一步,基于大型航空器目标热红外辐射特性,结合大气辐射传输模型建立热红外谱段的航空器辐射特性观测模型;第二步,基于观测模型得到不同大气条件下不同高度、飞行状态下的航空器光谱仿真数据库;第三步,提取遥感图像中的目标光谱信息,利用光谱角匹配法开展飞行高度估计;最后,利用仿真数据和SDGSAT-1在轨数据进行验证和分析。结果表明,巡航高度的大型航空器可实现千米量级的估计精度。该方法为被动式天基手段开展航空器高度估计提供了新思路,具有重要的参考意义。
2025, 44(2):265-276. DOI: 10.11972/j.issn.1001-9014.2025.02.014
摘要:星载红外遥感图像在环境监测和军事侦察等领域具有重要应用价值。然而,由于器件工艺限制、大气扰动和传感器噪声等因素,这类图像面临分辨率不足和细节纹理模糊的问题,严重限制了后续分析和处理的准确性。为了克服这些困难,提出了一种新的超分辨率生成对抗网络模型(generative adversarial network,GAN),该模型将密集连接与Swin Transformer架构相融合,实现跨层特征传递和上下文信息的有效利用,同时增强了模型的全局特征提取能力。此外,将传统的跳跃连接改进为基于多尺度通道注意力机制(multi-scale channel attention,MSCA)的特征融合,使网络能够更加灵活地整合多尺度特征,提升了特征融合的质量和效率。随后,通过构建联合损失函数,以全面优化生成器的性能,进一步提升超分辨率图像质量。所提算法在不同数据集上进行对比测试均取得了较好效果,且超分后的图像在目标检测等下游任务中,也展现出更高的性能,验证了该算法在星载红外遥感图像超分辨率中的有效性和应用潜力。
2025, 44(2):277-288. DOI: 10.11972/j.issn.1001-9014.2025.02.015
摘要:针对红外弱小目标检测在复杂云背景下面临的背景与目标对比度低、噪声抑制能力不足等问题,提出了一种基于张量核规范和方向残差加权的红外小目标检测方法。在将红外图像转换为红外块张量模型的基础上,从背景张量的低秩特性出发,利用背景与目标在不同方向上的对比度差异,设计了一种基于方向残差加权的双邻域局部对比度方法(double-neighborhood local contrast based on direction residual weighting method, DNLCDRW),并结合张量核范数部分和方法(partial sum of tensor nuclear norm, PSTNN),实现了有效的背景抑制和红外目标恢复。实验表明,该算法能有效抑制背景,提高对目标的检测能力。
司海平 , 赵文汭 , 李婷婷 , 李飞涛 , Fernando Bacao , 孙昌霞 , 李艳玲
2025, 44(2):289-298. DOI: 10.11972/j.issn.1001-9014.2025.02.016
摘要:红外与可见光图像的融合结果应该突出红外图像的显著目标,保留可见光图像的纹理细节。为满足上述要求,提出一种基于自编码器的红外与可见光图像融合方法。编码器根据优化目标构建基础编码器和细节编码器,用于提取图像的低频信息与高频信息。这种提取方式可能会导致部分信息未被捕捉,因此提出补偿编码器来补充信息。同时,采取多尺度分解来更全面地提取图像特征。解码器将低频、高频和补充信息相加获取多尺度特征。随后,引入注意力策略与Fusion模块进行多尺度融合,实现图像重建。在三个数据集上的实验结果表明,该网络生成的融合图像能有效保留突出目标,同时更符合人类的视觉感知。
李朝旭 , 徐清宇 , 安玮 , 贺旭 , 郭高伟 , 李淼 , 凌强 , 王龙光 , 肖超 , 林再平
2025, 44(2):299-310. DOI: 10.11972/j.issn.1001-9014.2025.02.017
摘要:弱小目标检测一直是红外图像处理领域的经典问题,通常所关注的弱小目标在亮度上高于所在的局部背景。然而在一些场景下,目标辐射能量会弱于背景,如在高空中巡航的民航飞机,由于机身蒙皮温度低于地表,在中等空间分辨率的热红外卫星图像上呈现为暗弱点目标。针对暗弱目标形态特征少、现有目标检测网络结构冗余的问题,提出了一种基于可形变注意力机制的极轻量级暗弱目标单帧检测网络AirFormer,参数量仅为37.1 K,在256×256尺寸的图像上浮点运算次数仅有46.2 M。此外,针对当前红外图像暗弱目标检测数据集缺乏的问题,通过对热红外卫星图像民航飞机的特性进行分析,提出了一种中等空间分辨率热红外卫星图像民航飞机的简易仿真方法,并以民航飞机为仿真对象构建了红外图像暗弱目标检测数据集——IRAir数据集。在IRAir数据集上进行验证,所提的AirFormer网络对暗弱点目标的召回率可达71.0%,检测准确率可达82.6%。此外,基于仿真数据训练,AirFormer可有效检出热红外卫星图像上真实的民航飞机。
杨俊刚 , 刘婷 , 刘永贤 , 李博扬 , 王应谦 , 盛卫东 , 安玮
2025, 44(2):311-325. DOI: 10.11972/j.issn.1001-9014.2025.02.018
摘要:低秩稀疏分解方法因其好的检测性能在红外小目标检测领域受到广泛关注。然而,现有低秩稀疏分解方法在复杂场景中仍然面临检测性能不高、检测速度较慢等问题。虽然现有的低秩塔克分解方法在复杂场景下取得了令人满意的检测性能,但其需依赖经验预先定义秩:若秩估计过大或过小,会导致漏检或虚警。而且,不同场景中秩的大小不一样,限制了实际应用。为了解决这一问题,本文采用非凸秩接近范数约束低秩塔克分解的潜在因子,无需手动设置秩,从而显著提升了算法在不同场景中的鲁棒性。进一步地,设计了基于对称高斯-赛德尔的交替方向乘子法(symmetric GaussSeidel based alternating direction method of multipliers algorithm,sGSADMM)来求解所提模型。与现有基于交替方向乘子法相比,sGSADMM算法通过利用更多结构信息,实现了更高的求解精度。大量实验表明,所提方法在检测性能和背景抑制等方面均优于现有的先进算法。

主编:褚君浩
国际标准刊号:ISSN 1001-9014
国内统一刊号:CN 31-1577/O4
国内邮发代号:4-335