
Editor in chief:Sheng-Li SUN
International standard number:ISSN 1672-8785
Unified domestic issue:CN 31-1304/TN
Domestic postal code:4-290
- Most Read
- Most Cited
- Most Downloaded
2026, 47(1):1-16. DOI: 10.11972/j.issn.1672-8785.2026.01.001
Abstract:This article reviews the development and frontier challenges of infrared sensing technology in two major domains: "looking upward" for deep space exploration and "looking downward" for Earth observation. In deep space exploration, represented by the James Webb Space Telescope (JWST), this technology is constantly approaching the physical limits of observation through methods such as ultra-large apertures, very long wavelength band, and ultra-low temperature cooling, aiming to reveal the mysteries of the early universe. The article also elucidates the primary evolution of infrared detection payloads aboard various satellites across different eras, highlighting their representativeness and characteristics. Infrared Earth observation technology has progressed from low spatial resolution and a limited number of bands over a wide swath to improved temporal, spatial, spectral, and radiometric resolution over broad spatial and spectral ranges. New technologies such as large-aperture low-background optics, long-wavelength high-sensitivity detectors, on-chip intelligent sensing, and big data twin systems, as well as the large-scale development of "real-time remote sensing" integrating communication, navigation, and remote sensing, and commercial aerospace, will help build the foundation of "Infrared Digital Earth", enhance human beings′ real-time understanding and accurate prediction of the evolution of anomalous events in the Earth′s multi-spheres and various complex cyclic processes, promoting the popularization of infrared Earth observation technology.
YANG Chuan-hao , YU Xiao-qiang , ZHOU Lin
2026, 47(1):17-29. DOI: 10.11972/j.issn.1672-8785.2026.01.002
Abstract:The infrared spectrum (0.78–30 μm) plays a vital role in materials detection, energy harvesting, environmental sensing, and national defense security. However, traditional materials, limited by the strong coupling between intrinsic optical constants and thermal properties, struggle to achieve independent and precise tailoring of the infrared spectrum. Recently, the emergence of hierarchical photothermal metamaterials has provided a novel paradigm to address this challenge. This paper explores a multi-dimensional, multi-physics cross-band infrared spectral modulation mechanism based on micro-nano structure design, focusing on the evolution from microscopic electromagnetic resonance to macroscopic spectral and thermal field management. It reviews the progress of photothermal metamaterials in constructing ideal blackbodies and achieving infrared camouflage, and delves into their breakthroughs in energy applications such as radiative cooling and thermophotovoltaics. Finally, we outline the challenges and opportunities facing this field in both theoretical research and engineering applications, including large-area manufacturing processes and adaptability to extreme environments.
LIN Pu , MA Bin , DONG Zhongnan , LI Jinji , ZHANG Haoran , CAO Duole
2026, 47(1):30-41. DOI: 10.11972/j.issn.1672-8785.2026.01.003
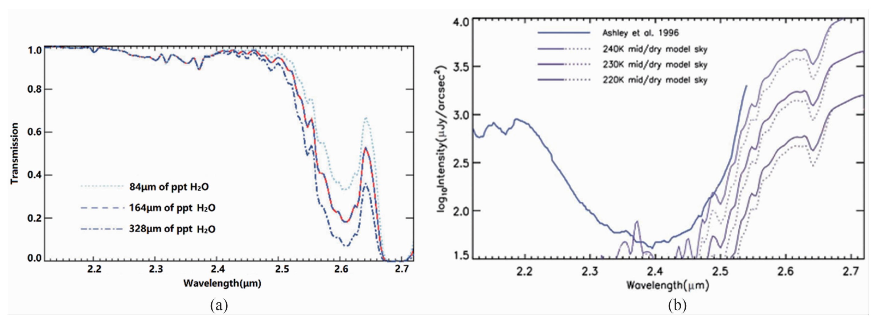
Abstract:The K-band (2.0–2.4 μm) is one of the most important wavebands for ground-based infrared observations, effectively penetrating interstellar dust and observing cool astrophysical objects and high-redshift galaxies. To address the long-standing gap and strong demand for near-infrared astronomical observations in China, this paper reports the astronomical observation results of a domestically developed mercury cadmium telluride (HgCdTe) infrared focal plane camera on the Sun Yat-sen University 80 cm infrared telescope. Located at the Lenghu Astronomical Observatory in Qinghai Province, the telescope is equipped with an HgCdTe infrared focal plane camera developed by the University of Science and Technology of China. Its chip is composed of three 640×512 HgCdTe infrared focal plane array detectors with a pixel pitch of 15 μm, developed by the Shanghai Institute of Technical Physics, Chinese Academy of Sciences. Test results show that the 5σ limiting magnitude is 15.3 mag (Vega system) in a single 20-second exposure, reaching the international level of the Two Micron All-Sky Survey (2MASS), with a photometric accuracy of up to 12 mmag for bright sources. After stacking for 30 minutes and 2 hours, the limiting magnitudes reach 17.5 mag and 18.2 mag, respectively. These results demonstrate that the system can conduct K-band time-domain astronomical observations at different detection depths and temporal resolutions. This achievement marks China ′s first successful astronomical K-band scientific imaging observation using a domestically developed HgCdTe infrared focal plane camera, providing a solid and reliable independent observation platform for infrared astronomy research in China.
LI Xiao-yan , ZHANG Dong-ge , WANG Xiao-kun , LIU Ting-ting , YANG Guang , LI Zheng-yang , CHEN Jun-lin , HUANG Ling-feng , YANG Chen-wei , WEN Hai-kun , WEI Yan-feng , FU Yu-tian , GONG Xue-fei , YUAN Xiang-yan
2026, 47(1):42-55. DOI: 10.11972/j.issn.1672-8785.2026.01.004
Abstract:Infrared astronomy is crucial for exploring the universe, but due to limitations in detector performance and the scarcity of suitable sites, China suffers from a severe shortage of astronomical observation equipment in the infrared band. Kunlun Station in Antarctica possesses unique natural conditions such as dryness, cold, and long polar nights, providing unparalleled advantages for near-infrared astronomical observations. However, it also faces challenges such as harsh environments, unmanned operation, limited energy, and snow and frost accumulation. This paper summarizes the advantages and challenges of near-infrared astronomical observation in Antarctica, the current status and plans for Antarctic infrared astronomy both domestically and internationally, and analyzes the key technologies of Antarctic infrared telescopes and existing technological accumulations (mainly including methods for suppressing radiation from the telescope itself and instruments, methods for de-icing mirrors, infrared detector technology, telescope control systems, and optimized dewar/cryostat design), providing technical references for the future development of Antarctic infrared telescopes.
2026, 47(1):56-69. DOI: 10.11972/j.issn.1672-8785.2026.01.005
Abstract:Since the 1970s, astronomers have detected a set of distinct infrared emission bands across diverse astronomical environments, which are widely recognized as signature features of polycyclic aromatic hydrocarbon (PAH). This paper reviews the formation and evolution mechanisms of such interstellar PAHs, mainly covering bottom-up molecular growth pathways such as the hydrogen abstraction-acetylene addition mechanism. It systematically delineates the fundamental vibrational modes corresponding to the characteristic bands at 3.3 μm, 6.2 μm, 7.7 μm, 8.6 μm, 11.2 μm, and 15–20 μm, while elaborating on the effects of molecular edge geometry and heteroatom doping on the peak positions and intensities of these spectral features. Diagnostic methodologies based on band ratio analyses for inferring the ionization states and molecular sizes of PAHs are synthesized, alongside ongoing debates regarding the non-uniqueness of the spectral carriers and the physical-chemical origins of weak far-infrared bands. Finally, the unparalleled advantages of the James Webb Space Telescope (JWST) in infrared imaging spectroscopy are emphasized, providing novel perspectives for advancing our understanding of interstellar organic chemistry.
ZHONG Jia-jia , ZHOU Xiao-jie , YU Wen-jie , XIE Xin-cheng , TANG Yu-zhao
2026, 47(1):70-83. DOI: 10.11972/j.issn.1672-8785.2026.01.006
Abstract:Protein dynamics analysis is central to elucidating biological functions. Owing to its unique combination of temporal resolution and structural sensitivity, infrared spectroscopy has emerged as a pivotal tool for investigating protein dynamical processes. This review systematically summarizes the fundamental principles, cutting-edge technologies, and practical applications of infrared spectroscopy in the analysis of protein dynamic structures. The temporal resolution capability of infrared spectroscopy has achieved full temporal scale coverage, ranging from the femtosecond to the millisecond level. This capability enables the capture of complete dynamic processes of proteins, spanning from ultrafast relaxation to conformational rearrangement. Two-dimensional infrared spectroscopy further improves spectral resolution and enhances the analytical capacity for complex protein systems. Infrared spectroscopy has been successfully applied to multiple research fields, including protein folding, ligand binding, and membrane protein dynamics. Notably, it has yielded significant progress in the investigation of critical biological processes such as the folding mechanism of amyloid fibrils, ligand binding of heme proteins, and proton transfer of membrane proteins. In the future, with the development of novel infrared probes and the integration of artificial intelligence technologies, infrared spectroscopy will exhibit greater application potential in the field of protein dynamics analysis.

Editor in chief:Sheng-Li SUN
International standard number:ISSN 1672-8785
Unified domestic issue:CN 31-1304/TN
Domestic postal code:4-290