Breakthrough and Development of Antimonide Superlattice Infrared Detection Technology
doi: 10.11972/j.issn.1672-8785.2025.12.004
CHEN Jian-xin1,2 , ZHOU Yi1,2 , XU Zhi-cheng1,2 , BAI Zhi-zhong1,2 , HUANG Min1,2 , DING Rui-jun1,2 , HE Li1,2
1. National Key Laboratory of Infrared Detection Technologies, Shanghai 200083 , China
2. Shanghai Institute of Technical Physics, Chinese Academy of Sciences, Shanghai 200083 , China
Abstract
Antimonide superlattice infrared detectors have advantages such as good uniformity, low dark current, and high quantum efficiency. Furthermore, due to their flexible and tunable energy band structure, they can cover a detection wavelength range of 3–30 μm, making them a preferred technology for realizing high-performance short-wave, mid-wave, long-wave, and two-color infrared detectors. The Shanghai Institute of Technical Physics (SITP), Chinese Academy of Sciences, began developing superlattice infrared focal plane array technology during the 11th Five-Year Plan period. Over the past decade, SITP has achieved systematic breakthroughs and progress in superlattice energy band structure design, epitaxial growth of materials, focal plane array chip fabrication, dark current suppression in long-wave devices, and the engineering and industrialization of superlattices. Starting from the basic technical principles of antimonide superlattices, this paper summarizes the research progress of SITP in superlattice infrared detectors and provides a preliminary discussion of future development trends.
Introduction
High-performance infrared detectors have indispensable applications in numerous fields, both military and civilian. Since the mid-20th century, the continuous development of condensed matter physics, semiconductor materials, and integrated circuits has powerfully propelled the rapid advancement of high-performance infrared detectors. During this process, various material systems, including lead salts, InSb, and HgCdTe, as well as low-dimensional infrared detection technologies such as GaAs/ AlGaAs quantum wells and antimony compound superlattices, have been developed. From 1958 to the present, HgCdTe infrared detectors have evolved through three generations: first-generation single-element and multi-element detectors; second-generation small-to-medium-scale focal plane arrays; and third-generation large-scale, high-sensitivity, multicolor focal plane arrays. They have played a crucial role in aerospace remote sensing, deep space exploration, national defense, resource exploration, medical diagnosis, and industrial control.
Antimonide superlattice infrared detection technology has the characteristics of high uniformity, wavelength tunability and low dark current, and is the preferred technology for fabricating large-scale long-wavelength, dual-color outer focal plane detectors. In 1987, Smith D L of Los Alamos National Laboratory and Mailhiot C of Xerox proposed the idea of using InAs/GaSb superlattices for infrared detection [1]. In 1994, Yang M J and Bennett B R et al. first reported the InAs/GaSb type II superlattice infrared detector [2]. Subsequently, the Jet Propulsion Laboratory, Naval Research Laboratory, Northwestern University, Huges Laboratory, Raytheon, L3 Harris and other institutions in the United States carried out research on InAs/GaSb superlattice material growth, device fabrication and application, and realized ultra-large-scale (4k×6k) mid-wave, large-scale (2k×2k) long-wave and mid/long-wave dual-color (1280×720) and high operating temperature (180 K) focal plane arrays, and applied them to many fields such as military and civilian [3-8].
The Shanghai Institute of Technical Physics (SITP) , Chinese Academy of Sciences, has been developing antimony compound superlattice infrared detection technology since the beginning of the11th Five-Year Plan period. In 2011, it obtained China's first superlattice infrared focal plane array. In 2012, it developed and reported the first high-performance mid-wave infrared detector. In 2013, it first extended superlattice detection technology to long-wave infrared focal plane arrays. In 2015, it pioneered the development and reporting of the first dual-color superlattice infrared focal plane array. In 2022, it first applied a superlattice long-wave infrared focal plane array to an aerospace engineering project. This article briefly reviews the technological breakthroughs and development history of SITP's antimony compound superlattice infrared detectors and comments on the subsequent development trends of antimony compound thin films and superlattice infrared detectors.
1 Technical principles and characteristics of InAs/GaSb superlattice infrared detectors
The lattice constants of InAs (α=6.0584 Å) and GaSb (α=6.0959 Å) are extremely similar, and InAs, GaSb, and AlSb are often referred to as the "6.1 Å" system (see Figure1) or antimonide semiconductors. When InAs and GaSb are arranged together, the conduction band bottom of InAs is located approximately 160 meV below the valence band top of GaSb, thus confining electrons in the InAs layer and holes in the GaSb layer. Since each InAs and GaSb layer is nanometer-thick, electrons and holes in adjacent InAs and GaSb layers interact to form electron microstrips and hole microstrips in the conduction and valence bands, respectively. When photons are incident, excited electrons jump from the hole microstrips to the electron microstrips, resulting in light absorption. The resulting electrons or holes diffuse or drift to the external circuit, forming an electrical signal.
According to the principles of quantum mechanics, the energy positions of electron and hole microstrips are determined by the thickness of the InAs and GaSb layers, respectively. By changing the periodic thickness of the InAs/GaSb superlattice, the energy positions of the electron microstrip and hole microstrip can be adjusted, enabling infrared detection capabilities covering the3-30 μm range. This characteristic of superlattice detection materials gives them very high design flexibility. In addition, the flexible adjustment of the superlattice band structure is very beneficial for realizing two-color and multi-color infrared focal plane arrays, thereby enabling the detection and imaging of infrared radiation in different bands on a single array.
Fig.1: (a) Relationship between the lattice constant and the band gap and response wavelength of some semiconductor materials; (b) Schematic diagram of the band arrangement of the6.1 Å family (InAs/GaSb/AlSb material system) .
2 Technological Breakthroughs and Progress of Antimonide Superlattice Focal Plane Detectors
2.1 Band Structure Design of Antimonide Superlattice Detectors
Band structure calculation plays an important role in the study of superlattice detectors. The simulation calculation mainly focuses on the band edge properties of superlattice materials and the band structure near the center of the Brillouin zone. The k·p model is a method for modeling the band structure near the center of the Brillouin zone [9].
For an electron in a periodic potential, its wavefunction satisfies Bloch's law:
ψnk(r)=eikrunk(r)
(1)
p22m0+ħ2k22m0+V(r)+ħm0kp+ħ24m02c2[V×p]σ×unk(r)=En(k)unk(r)
(2)
In the formula, m0 is the electron mass; σ is the electron spin.
According to perturbation theory, unk (r) can be expressed as a linear combination of un0 (r) :
unk(r)=mN amum0(r)
(3)
mN Hmnam=En(k)an
(4)
The above k·p equations are handled using Löwdin perturbation theory [10]. Considering the conduction band, heavy holes, light holes and spin-orbit splitting band, spin coupling has dual degeneracy, with a total of 8 bands, and the Hamiltonian can be expressed as an 8×8 matrix.
In a superlattice structure with period L, the material parameters change periodically with L, so the Hamiltonian matrix elements also change periodically. The eigenvalues and eigenfunctions of the 8-band k·p equation are numerically solved using the Fourier transform method [11]. Considering a one-dimensional heterostructure, assuming the z-direction is the growth direction and the period in the z-direction is L, a Fourier expansion is performed on an[11]:
an(r)=j Fn(j)φj(z)eikxx+kyyφj(z)=1Lei2πj(z/L)
(5)
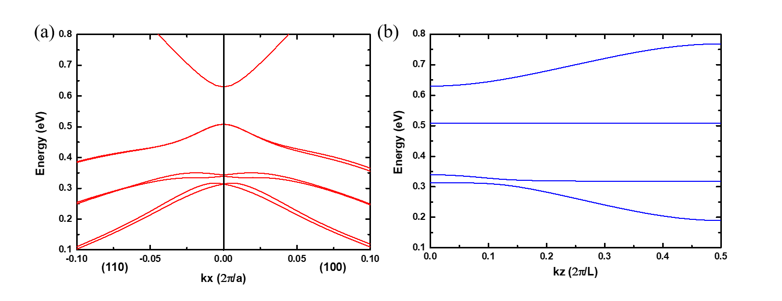
Based on the above equations, we developed a numerical solution program for the 8-band k·p model. In the band structure calculation, we used material parameters at 77 K, setting the energy of the InAs valence band top to 0. All other energy level positions were calculated based on the InAs valence band top energy. Figure2 shows the calculated band structure of the InAs/GaSb superlattice with a periodicity of 13.8/7.8 MLs (Monolayer) at 77 K. Figure2 (a) shows the energy dispersion relations in the (100) and (110) directions perpendicular to the growth direction; Figure2 (b) shows the energy dispersion relation in the (001) direction along the growth direction . The calculated cutoff wavelength was 9.76 μm, taking into account the influence of the InSb interface structure.
Fig.2: InAs/GaSb (13.8/7.8 MLs) Energy dispersion relation of type II superlattices: (a) perpendicular to the growth direction; (b) along the growth direction
2.2 Molecular beam epitaxy of antimonide superlattice materials
In InAs/GaSb superlattice infrared detector structures typically contain hundreds or even thousands of InAs and GaSb layers. However, because the lattice constant of InAs is 0.75% smaller than that of GaSb, and high-quality superlattice structures are primarily grown on GaSb substrates, an interface layer of appropriate thickness of InSb must be inserted into the periods to achieve stress-compensating epitaxial material. Since the lattice constant of InSb is approximately 7% larger than that of both InAs and GaSb, the insertion of the InSb interface layer increases the difficulty of maintaining two-dimensional growth and may worsen the interface roughness. In periodic superlattice structures, the interface will repeat continuously; therefore, it is crucial to ensure the consistency of the interface layer properties throughout the entire superlattice growth process.
Fig.3: X-ray bicrystalline diffraction curves and simulation curves of the8ML InAs/12ML GaSb superlattice material.
Figure3 shows the high-precision X-ray bicrystalline diffraction curves and simulation curves of the interface-optimized 8ML InAs/2ML GaSb superlattice epitaxial material. Fourth-order satellite diffraction peaks can be clearly observed. Based on the relative angular spacing of each diffraction peak, the periodic thickness of the superlattice can be measured to be6.09 nm. The full width at half maximum (FWHM) of each satellite diffraction peak is less than 30'', fully demonstrating that the grown superlattice material possesses excellent lattice integrity.
The InAs/GaSb superlattice structure is composed of two compounds, InAs and GaSb, with an InSb interface inserted in each superlattice period. The optimal growth windows of these three compounds do not overlap. Furthermore, InAs and GaSb exhibit different kinetic properties on their microscopic surfaces during growth. To obtain high-quality superlattice materials, it is necessary to consider the individual growth kinetics of the three compounds to find the optimal growth temperature. Figure4 shows an atomic force micrograph of the optimized superlattice material. The atomic steps are clearly visible in the image, reflecting the quality of the grown material from another perspective.
Fig.4: Atomic force microscopy image of superlattice epitaxial material.
Figure5 shows the response spectra of superlattice samples with different periodic structures. The numbers labeled in the figure represent the thicknesses of InAs and GaSb within the period (nm) , with each spectral curve corresponding to a different period thickness. By changing the superlattice period thickness, superlattice materials covering the mid-infrared, long-infrared, and very long-infrared bands were obtained.
Fig.5: Response spectra of superlattice samples at different periods. The numbers labeled in the figure represent the thickness (nm) of InAs/GaSb within the period.
2.3 Fabrication Technology of Antimonide Superlattice Infrared Focal Plane Devices
After years of process optimization and technological exploration, we have established a technology chain for fabricating antimony compound superlattice infrared focal plane array (FPA) devices. Figure6 shows the main process flow diagram for superlattice infrared FPA fabrication. Superlattice infrared FPA detectors utilize mesa-type pixel chips, and mesa formation and sidewall passivation are key processes in FPA fabrication. Mesa formation methods mainly include wet etching and dry etching, with dry etching offering advantages such as strong anisotropy, good uniformity, and high repeatability. Sidewall damage is a primary consideration in the micro-mesa etching of InAs/GaSb superlattice materials. Sidewall passivation of the pixel mesa employs inductively coupled plasma-chemical vapor deposition (ICP-CVD) to deposit a silicon-based dielectric film. The physicochemical properties between the semiconductor sidewalls and the dielectric film are a key focus for passivation process optimization.
Fig.6: Simplified process flow diagram for fabrication of superlattice infrared focal plane arrays.
The InAs/GaSb superlattice FPA pixel chip and the readout circuit are interconnected using indium pillars. The indium pillar interconnects can be achieved through direct pressure bonding (the pressure varies depending on factors such as array size and pixel dimensions) or through reflow bonding. Since FPA detectors all employ back-incidence irradiation, we have developed substrate thinning and removal techniques to eliminate the absorption effect of free carriers and improve the device's optical response.
In 2011, we made a preliminary breakthrough in the entire chain of technologies, including superlattice structure design, material epitaxial growth, chip fabrication, and flip-wire interconnection, and obtained a prototype device. In 2012, we developed and reported a128×128 superlattice infrared focal plane detector with high performance [12] . At an operating temperature of 77 K, the response cutoff wavelength of the device was 5.2 m, the blind element rate was 1.2%, the response non-uniformity was 5.4%, and the noise equivalent temperature difference (NEDT) was 33.4 mK.
Superlattice infrared detector materials possess advantages such as low Auger recombination and good uniformity, making them a preferred technology for developing long-wave infrared focal plane array devices. The primary challenge in developing long-wave infrared detectors is suppressing dark current. In the long-wave infrared band, the energy difference between electron and hole microstrips in superlattices is only on the order of hundreds of millielectron volts (e.g., the band gap of a10 μm wavelength device is approximately 124) . The bandgap of a12.5 μm wavelength device is approximately 100 meV. In the meV range, electrons readily transition from vacant microstrips to electron microstrips via thermal excitation, forming dark electrons. Furthermore, in the long-wave infrared band, dark currents formed through tunneling (especially defect-assisted tunneling) become more pronounced.
To overcome the dark current problem in long-wave infrared detectors, a barrier structure capable of suppressing dark current was designed by leveraging the flexible and tunable band structure of antimony compound superlattice systems, based on improved material properties. By introducing a wide-bandgap mid-and short-wavelength superlattice into the long-wavelength detector structure, generation-recombination currents and tunneling currents are suppressed. The study also found that introducing a wide-bandgap barrier helps suppress sidewall leakage currents on the superlattice pixel mesa.
Figure7 shows the response spectrum and dark current characteristics of the grown barrier-type long-wavelength superlattice detector. It can be seen that at liquid nitrogen temperature, the50% cutoff wavelength of the device is 12.6 μm, the dark current density at a bias of -50 mV is 6.2×10⁻⁴ A/cm², and the junction impedance is 1.4×10³ Ω·cm².
Fig.7: (a) Response spectrum of long-wavelength superlattice; (b) Current-voltage characteristics of long-wavelength superlattice.
Figure8 shows the progress made by the superlattice research team at the Shanghai Institute of Technical Physics in suppressing dark current in long-wave infrared detectors over the past decade. It can be seen that the dark current density of long-wave infrared detectors has improved from nearly 1000 times the R07 level initially to exceeding the R07 level by 2023. The figure also shows reported results from research institutions such as the Jet Propulsion Laboratory, Raytheon, Naval Research Laboratory, and Northwestern University. This is a synthesis based on their publicly published data (mainly from January 2004 to December 2014) . It can be seen that the timeline for our laboratory's breakthrough in suppressing dark current is roughly the same as that of other countries.
Fig.8: Research progress of the Shanghai Institute of Technical Physics in dark current suppression of superlattice long-wavelength infrared detectors.
The main technical challenges to be overcome in the development of superlattice long-wave infrared focal planes are the suppression of sidewall leakage current of the pixel mesa and the bottom filling technology after the superlattice pixel chip is coupled with the readout circuit. In 2013, the research team obtained the first superlattice long-wave infrared focal plane in China (specification 320×256) [13]; in 2014, the cutoff wavelength of the device was extended to 12 μm; in 2017, the first megapixel (1024×1024) 10.5 μm superlattice long-wave infrared focal plane device was developed [14]; in 2022 and 2024, 12.5 μm superlattice long-wave infrared focal plane detectors with scales of 1024×1024 and 2048×2048 were realized respectively [15].
The 1024×1024 superlattice long-wavelength infrared FPA has a pixel size of 18 μm, and the input stage of the readout circuit uses direct injection (DI) . Operating at 80 K, the FPA with a cutoff wavelength of 10.5 μm exhibits a noise-equivalent temperature difference of 31 mK, a blind pixel rate of less than 1%, and pixel non-uniformity better than 10%. When the FPA device with a cutoff wavelength of 12.5 μm operates at a temperature of 60 K, the NETD value is 21 mK, the blind pixel rate is less than 1%, and the pixel non-uniformity is better than 8%. Figure9 shows a laboratory imaging demonstration of a megapixel superlattice infrared FPA with cutoff wavelengths of 10.5 μm and 12.5 μm, respectively.
Fig.9: Imaging of a 1024×1024 superlattice long-wavelength infrared FPA: (a) cutoff wavelength of 10.5 μm; (b) cutoff wavelength of 12.5 μm.
Dual/multicolor infrared detectors can acquire infrared information across multiple spectral bands, thereby enhancing the detection capabilities of optoelectronic systems. We have developed a stacked dual-color infrared detector technology based on bias polarity switching to select different detection spectral bands: in 2015, we developed China's first dual-color superlattice infrared focal plane device, with response bands of 3–4 μm and 4–5 μm (mid-wave/mid-wave) [16 ]; then it was extended to mid-wave/short-wave (1.7–2.6 μm/3.7–4.8 μm) , mid-wave/long-wave (3–5 μm/8–10 μm) , and long-wave/long-wave (5–7.5 μm/8–10.5 μm) dual-color superlattice infrared focal plane device. Figure10 shows laboratory demonstration imaging of dual-color infrared focal plane arrays with 1280×1024 mid-wave/mid-wave [17], 320×256 mid-wave/long-wave, and 640×512 long-wave/long-wave.
Fig.10: Imaging of a superlattice dual-color infrared focal plane device: (a) mid-wave/mid-wave; (b) mid-wave/long-wave; (c) long-wave/long-wave.
2.4 Engineering of antimonide superlattice infrared focal plane detectors
Since superlattice infrared detectors are a novel infrared detection technology, reliability studies are necessary for their engineering applications. We primarily conducted high/low temperature storage, high/low temperature dynamics, temperature shock, mechanical, radiation resistance, and power-on/off tests to verify the device's effectiveness. Simultaneously, we tested and evaluated the radiation resistance of the superlattice infrared FFA device and analyzed its failure mechanism at low temperatures. Figure11 shows the performance changes of the superlattice infrared FFA device under Co60 irradiation. It can be seen that after 100 krad (Si) irradiation, the zero-bias impedance of the superlattice infrared FFA device changed from 4.12×10⁵ Ω to 3.98×10⁵ Ω, indicating that the device's radiation resistance characteristics meet the requirements of aerospace applications. In 2022, three superlattice infrared FFA devices were successfully applied to multiple aerospace payloads to conduct Earth and space observation experiments.
Fig.11: Performance variation of a superlattice infrared FPA device under Co60 irradiation: (a) dark current; (b) junction impedance.
2.5 Commercialization of antimony superlattice infrared focal plane detectors
The III-V compound semiconductor materials used in antimony superlattice infrared detectors possess stable physicochemical properties, which is beneficial for improving the stability, controllability, and batch-to-batch consistency of material growth and device fabrication. Building upon technological breakthroughs and engineering achievements, the team began commercializing antimony superlattice infrared detector technology in 2020. After approximately five years of effort, Abscience Optoelectronic Technology Co., Ltd., with its core team members, has established mass production capabilities for superlattice infrared focal plane arrays, achieving various specifications of superlattice mid-wave and long-wave infrared focal plane devices, including 320×256, 640×512, and 1024×1024. The yield rate of epitaxial materials reached 80%, and the yield rate of long-wave infrared detectors reached 30% . The effective pixel rate of the 640×512 long-wave infrared detector can be controlled at 99.9%. We have provided independently controllable high-performance infrared focal plane array device solutions to numerous domestic users. Figure12 shows the blind pixel distribution and demonstration imaging of a 640×512 long-wave infrared focal plane array. The device has 21 blind pixels and an effective pixel rate of 99.994%.
Fig.12: Blind pixel distribution and demonstration imaging of a 640×512 long-wave infrared focal plane array product.
3 Recent Advances and Future Trends of Antimonide Superlattice Detectors
3.1 Performance Improvement and Functionality Expansion
In recent years, antimonybide superlattices have made significant progress. The array sizes of mid-wave and long-wave infrared focal plane arrays have reached 4 k×6 k and 2 k×2 k, respectively, with blind pixel rates controlled to less than 0.2% and less than 0.5%, demonstrating the advantages and potential of antimonybide superlattice infrared focal plane arrays. Future development will focus on larger array sizes, smaller pixel dimensions, higher operating temperatures, and even very long wavelengths and dual (multi) color arrays. Meanwhile, multi-dimensional integrated detection, avalanche detection, and on-chip integrated information processing will also be important development directions for superlattice infrared focal plane arrays.
3.2 Integrated Detection of Metasurface Micro/Nano Optical Structures
Artificial photonic microstructures can improve the incident efficiency of infrared light, significantly enhance the photoresponse rate (quantum efficiency) of devices, and compensate for the weakness of small absorption coefficients in superlattice infrared detectors. In 2011, the Center for Microphotonics at MIT reported an ultrawideband (2–4 μm) mid-infrared detector with integrated multilayer dielectric layers, which improved transmittance by 60% at incident angles of 0–75˚. In 2016, the U.S. Air Force Research Laboratory improved the sensitivity of the mid-wave infrared detector by 100 times using microsphere lenses. In 2018, the Jet Propulsion Laboratory proposed a monolithically integrated microlens InAsSb nBn detector, achieving a peak detectivity of 2.7×10¹⁰ cm·Hz¹/²·W⁻¹ at 250 K. Compared to detectors without integrated microlenses, this device improved the operating temperature by 25 K.
4 Conclusion
After years of effort, the Shanghai Institute of Technical Physics has achieved breakthroughs across the entire chain of superlattice infrared detection technology, from structural design and material growth to device fabrication and engineering and industrialization. Superlattice infrared focal plane arrays have demonstrated unique advantages in terms of uniformity, stability, and mass production capabilities across large arrays. With the continuous deepening of research into the physical properties of antimony superlattice materials and device physics, and the ongoing development of novel superlattice infrared detectors, the performance of superlattice infrared focal plane array devices will be further improved, making them a preferred technology for high-performance infrared focal plane detectors.
Smith D L, Mailhiot C. Proposal for strained type II superlattice infrared detectors[J]. Journal of Applied Physics,1987,62(6):2545-2548.
Yang M J, Bennett B R. InAs/GaSb infrared photovoltaic detector at 77 K[J]. Electronics Letters,1994,30(20):1970-1971.
Manurkar P, Ramezani-Darvish S, Nguyen B-M,et al. High performance long wavelength infrared mega-pixel focal plane array based on type-II superlattices[J]. Applied Physics Letters,2010,97(19):193505.
Nguyen B M, Bogdanov S, Pour S A,et al. Minority electron unipolar photodetectors based on type II InAs/GaSb/AlSb superlattices for very long wavelength infrared detection[J]. Applied Physics Letters,2009,95(18):183502.
Sundaram M, Reisinger A, Dennis R,et al.1024×1024 LWIR SLS FPAs: Status and characterization[C]. SPIE,2012,8353:83530W.
Steenbergen E H, Connelly B C, Metcalfe G D,et al. Significantly improved minority lifetime observed in a long-wavelength infrared III-V type-II superlattice comprised of InAs/InAsSb[J]. Applied Physics Letters,2011,99(25):251110.
Hoglund L, Ding D Z, Soibel A,et al. Minority carrier lifetime in mid-wavelength infrared InAs/InAsSb superlattices: Photon recycling and the role of radiative and Shockley-Read-Hall recombination mechanisms[J]. Applied Physics Letters,2014,105:193510.
Ting D Z, Soibel A, Khoshakhlagh A,et al. Antimonide e-SWIR, MWIR,and LWIR barrier infrared detector and focal plane array development[C]. SPIE,2018,10624:1062410.
Willatzen M, Lew Yan Voon L C. The k·p method: Electronic properties of semiconductors[M]. Heidelberg: Springer,2009.
Livneh Y, Klipstein PC, Klin O,et al.k·p model for the energy dispersions and absorption spectra of InAs/GaSb type-II superlattices[J]. Physical Review B,2012,86(23):235311.
Gershoni D, Henry C H, Baraff G A. Calculating the Optical Properties of Multidimensional Heterostructures Application to the Modeling of Quatemary Quantum Well Lasers[J]. IEEE J Quantum Electron,1993,29(9):2433-2450.
Xu J J, Jin J P, Xu Q Q,et al.128×128 infrared focal plane arrays based on Type-II InAs/GaSb superlattice[J]. Journal of Infrared and Millimeter Waves,2012,31(6):501-504.
Xu J J, Chen J X, Zhou Y,et al.320×256 long wavelength infrared focal plane arrays based on type-II InAs/GaSb superlattice[J]. Journal of Infrared and Millimeter Waves,2014,33(6):598-601.
Wang F, Xu Z, Bai Z,et al. Fabrication of a 1024×1024 format long wavelength infrared focal plane array based on type-II superlattice and barrier enhanced structure[J]. Infrared Physics & Technology,2021,115:103700.
Bai Z Z, Huang M, Xu Z C,et al.12.5 μm 1024×1024 long-wavelength infrared InAs/GaSb Type II superlattice focal plane arrays[J]. Journal of Infrared and Millimeter Waves,2024,43(6):716-720.
Bai Z Z, Xu Z C, Zhou Y,et al.320×256 dual-color mid-wavelength infrared InAs/GaSb superlattice focal plane arrays[J]. Journal of Infrared and Millimeter Waves,2015,34(6):738-743.
Bai Z Z, Huang M, Xu Z C,et al.1280×1024 dual-color mid-wavelength infrared InAs/GaSb superlattice focal plane arrays[J]. Journal of Infrared and Millimeter Waves,2024,43(4):437-441.