Research Progress on Very-Long-Wave Infrared HgCdTe Focal Plane Devices
doi: 10.11972/j.issn.1672-8785.2025.11.007
SHEN Yue1,2,3 , XIE Hao1,2 , WANG Xi1,2 , LI Xun1,2 , WEI Yan-feng1,2 , CHEN Lu1,2 , LIN Chun1,2 , YE Zhen-hua1,2
1. Shanghai Institute of Technical Physics, Chinese Academy of Sciences, Shanghai 200083 , China
2. National Key Laboratory of Infrared Detection Technologies, Shanghai 200083 , China
3. University of Chinese Academy of Sciences, Beijing 100049 , China
Abstract
Very-long-wave infrared (VLWIR) detection plays an irreplaceable role in fields such as space remote sensing, deep space exploration, and infrared spectroscopy. HgCdTe is an ideal material for VLWIR detection due to its continuously tunable bandgap. However, managing the high dark current and ensuring material uniformity, both consequences of its extremely narrow bandgap, remain core challenges. This paper first reviews the research progress of VLWIR HgCdTe detectors and the evolution of international performance evaluation standards for HgCdTe detectors. Then, it analyzes the structural evolution and operating principle of mainstream devices. Finally, an outlook on the key technological challenges and future research directions for VLWIR HgCdTe detectors is presented.
0 Introduction
The VLWIR band (typically referring to wavelengths of 14 to 30 μm) covers atmospheric windows and the characteristic absorption lines of various molecules, thus carrying extremely rich spectral information. This characteristic makes VLWIR detection technology of great application value in fields such as space remote sensing, atmospheric sounding, and astronomical observation, especially in Earth climate monitoring and planetary atmospheric composition analysis, where it plays an irreplaceable role [1-4] . The band gap of HgCdTe material can be precisely controlled by changing the composition of cadmium (Cd) (x value is usually between 0.18 and 0.22) to match the requirements of the VLWIR band, and it has direct band gap characteristics such as high quantum efficiency and suppressible Auger recombination, so it has become the preferred materialfor detectors in this band.
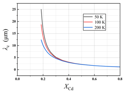
However, when the cutoff wavelength of the detector is extended to more than 14 μm, the band gap of the HgCdTe material becomes extremely narrow (less than 0.1 eV at 77 K) . This leads to an exponential increase in thermally excited carrier concentration and a sharp increase in dark current, forcing the detector to operate at a low temperature of 40 to 80 K. In addition, in the VLWIR band, the composition of Cd material is as low as about 0.2, and the cutoff wavelength is highly sensitive to small fluctuations in Cd composition. This places extremely high demands on the uniformity control of material growth (Δx<0.001) , and the temperature sensitivity also increases with the increase of the cutoff wavelength [5], as shown in Figure1.
The extremely narrow bandgap also makes the device highly sensitive to various leakage mechanisms. Even under low bias, the built-in potential of the photodiode is on the same order of magnitude as the bandgap. When the low bandgap junction is under the combined action of the built-in voltage and the external bias, minority carriers can tunnel directly through the barrier formed by the depletion region, i.e., band-to-band tunneling (BBT) , or through the trap-assisted tunneling (TAT) located in the middle of the bandgap[6] . These tunneling mechanisms make VLWIR devices highly sensitive to the defect density in the material, which may lead to non-uniformity in the cutoff wavelength and response. Therefore, it is necessary to suppress them by reducing the impurity concentration, material defects or detector stress.
Therefore, in the VLWIR band, the intrinsic properties of HgCdTe place extremely high demands on composition control and operating temperature. To achieve the reliability, uniformity, and signal-to-noise ratio levels required for low-throughput background applications, every step − from the growth of HgCdTe films with low Cd composition to doping control and device passivation, and then to device fabrication and process technology selection − is crucial to the performance of VLWIR focal plane arrays.
Fig.1Variation of cutoff wavelength based on Hansen relation with Cd composition and operating temperature.
Over the past decade, international research institutions have achieved significant breakthroughs in VLWIR detector performance through innovations in P-on-N structures, optimization of molecular beam epitaxy (MBE) processes, and the application of exogenous low-concentration doping techniques. Domestically, following international advancements, China has made progress in material growth, device fabrication, and focal plane array integration, with some indicators reaching internationally advanced levels. This article systematically reviews the domestic and international research progress, device physics, and structural development trends of VLWIR HgCdTe detectors, providing a reference for related research.
1 Research progress of VLWIR HgCdTe detectors
1.1 International Research Progress
In the early 1990s, international efforts focused on extending the wavelength range of HgCdTe detectors to the long-wave infrared (LWIR) and VLWIR bands. To obtain high-performance detector chips, various research institutions and companies chose different technical approaches and conducted extensive research. Representative works are shown in Figure2.
Fig.2Representative operation of LWIR/VLWIR HgCdTe detectors.
Sofradir and AIM in Europe, which carried out research on the Hg vacancy intrinsic doping N-on-P technology route and produced high-performance mid-wave infrared (MWIR) and LWIR infrared focal plane arrays [7]. However, due to the influence of the Shockley-Read-Hall (SRH) recombination process, it is difficult to achieve the low dark current required for VLWIR detector arrays by using conventional Hg vacancy p-type doping. In order to realize VLWIR detection, Sofradir used the gradient doping profile ultra-low junction intrinsic doping n-on-p technology to control the tunnel current and successfully fabricated a320×256 VLWIR focal plane array with a pixel pitch of 30 μm. Its cutoff wavelength reaches 18 μm at 50 K and 20 μm at 30 K [5]. AIM has conducted research on intrinsically doped n-on-p technology and realized a VLWIR focal plane array with a size of 112×112 and a pixel pitch of 30 μm. Its cutoff wavelength reaches 14.4 μm at 55 K, and the dark current is about 15 times lower than that of the intrinsically doped Hg vacancy device, and is close to the "Rule 07" standard (see Figure3) , which confirms the effective improvement of device performance by intrinsically doped n-on-p technology [8] . Then, the dark current level of its n-on-p device was further optimized. The dark current of the LWIR device with a cutoff wavelength of 11.4 μm at 80 K is about 3 times lower than that of "Rule 07" [9] .
Fig.3Comparison of dark current of LWIR and VLWIR detectors manufactured by AIM using two planar N-on-P technologies [8].
Nevertheless, low-doping techniques for intrinsic p-type carriers (below 1×1015 cm-3) are difficult to achieve, so companies such as Sofradir and AIM subsequently shifted their research to the p-on-n type technology route.
P-on-n technology route has gradually become mainstream due to its performance advantages. Sofradir has achieved a dark current level of "Rule 07" by using the As injection planar junction process based on liquid phase epitaxy (LPE) . In order to cope with the detection application of VLWIR at extremely low temperatures, the company has fabricated p-on-n heterojunctions by widening the interface bandgap and adjusting the Cd concentration along the layer thickness so that the junction is located in a material with a higher bandgap than the active layer, in order to reduce the depletion current in the junction at low temperatures [10]. In the United States, RVS and Teledyne are industry representatives of the p-on-n technology route. Both of them use double-layer planar heterojunction (DLPH) structures and have excellent device performance. RVS initially grew DLPH structures using LPE technology and employed a unique pixel isolation etching process to penetrate the PN junction through photolithography and chemical etching, thereby achieving electrical isolation between pixels. This effectively reduced electrical crosstalkhat could interfere with infrared source positioning and successfully achieved excellent performance in the VLWIR band (see Figure4) [11]. Teledyne mainly grew DLPH structures using MBE technology. Its product performance and technical route are far ahead of others and have always represented the benchmark level in the industry. Figure5 shows the company's breakthrough node in HgCdTe technology [12].
Fig.4Electrical performance trend line of RVS VLWIR detector [11].
Fig.5Teledyne's HgCdTe technology breakthrough node [12].
To achieve large-area arrays and low cost of HgCdTe devices, the development of p-on-n technology also includes the exploration of epitaxial growth technology on alternative substrates.Since2000, RVS has undertaken the work of HRL and actively promoted the MBE epitaxial growth technology of HgCdTe on alternative substrates (such as Si) . Figure6 shows the p-on-n bilayer heterojunction structure grown on Si substrate [13]. Teledyne has also tried to design detectors on alternative substrates (such as GaAs and Si) [12]. Although the research and development in this direction is currently still focused on high-quality LWIR HgCdTe materials, it is expected to be extended to the VLWIR band in the future.
Fig.6p-on-n bilayer heterojunction structure grown by RVS using MBE technology [13].
As VLWIR HgCdTe technology continues to advance, the establishment and evolution of industry performance benchmarks have profoundly reflected the evolution of device physics. Teledyne has made outstanding contributions to the establishment of theories and benchmarks, and proposed the “Rule 07” rule of thumb [14] as a measure of the dark current level of high-performance HgCdTe devices. Based on this rule, at operating temperatures above77 K, the dark current of high-performance HgCdTe devices is mainly limited by the diffusion current determined by the Auger-1 recombination mechanism in the n-type absorption layer. Therefore, “Rule 07” actually represents the diffusion current limit determined by intrinsic Auger recombination of materials at the most advanced technology level at that time. If the dark current of a device can reach or approach the “Rule 07” curve, it means that its material quality and device process have reached a very high level, and the interference of dark currents such as generation-recombination (GR) current, tunneling current and surface leakage current has been basically eliminated.
However, at lower temperatures, the diffusion current dominated by Auger-1 recombination is suppressed and is no longer the main limiting factor. At this time, dark current mechanisms such as TAT begin to emerge. To this end, Teledyne proposed "Rule22" [15] based on "Rule 07" to more accurately describe the performance of devices over a wider temperature and wavelength range. "Rule22" is a complex empirical equation containing multiple terms. As shown in Figure7, in the high temperature region of 1/λcT<0.0025 and short wavelength region, the dark current is limited by the diffusion current dominated by Auger-1 recombination; in the medium and low temperature region of 0.0025<1/λcT<0.005, the dark current is mainly dominated by TAT. This reflects that after technological progress has suppressed the diffusion current, defects in the material have become a new performance bottleneck. In the extremely low temperature region of 1/λcT>0.005 and very long wavelength region, the dark current of advanced HgCdTe devices is limited by the background photon flux. Teledyne's evolution of this series of performance benchmarks reflects the technological stages that need to be overcome to achieve high performance in VLWIR HgCdTe detectors. This progresses from overcoming the intrinsic Auger recombination limit of materials to overcoming the tunneling limit caused by material defects, ultimately achieving the ideal performance of background-limited infrared photodetection (BLIP) .
Fig.7Comparison of the dark current of the best detectors reported by various institutions with the “Rule 07” and “Rule22” benchmarks [15].
1.2 Domestic Research Progress
Research on VLWIR HgCdTe detectors started later in China than abroad. Nevertheless, major research institutions have made steady progress in the material growth and device fabrication of n-on-p and p-on-n type very long wave devices. In recent years, they have successfully developed LWIR and VLWIR HgCdTe focal plane array devices of various specifications.
The Kunming Institute of Physics reported a p-on-n detector fabricated using a planar junction process with As ion implantation. The test results are shown in Table1. The cutoff wavelength of the VLWIR device at a working temperature of 71 K is 14.97 μm and the average peak detectivity is 1.2×10 11 cm·Hz1/2·W-1 [16] .
Table1Test results of three focal plane array devices with different wavelengths from the Kunming Institute of Physics [16]
The North China Institute of Optoelectronics developed a VLWIR detector with a cutoff wavelength of 14.28 μm at 60 K using a double-layer heterogeneous p-on-n mesa junction process. Figure8 shows a scanning electron microscope (SEM) image of the focal plane pixel array (320×256 size, 30 μm pixel pitch) it prepared. It can be seen that the mesa structure and duty cycle of the pixels show good consistency and uniformity, and the sidewall passivation effect is good [17].
Fig.8SEM images of the focal plane pixel array (left) and pixel passivation film profile (right) of the North China Institute of Optoelectronics [17].
The Shanghai Institute of Technical Physics, Chinese Academy of Sciences (hereinafter referred to as "SITP") has also developed a VLWIR detector with a cutoff wavelength of 14.4 μm at 40 K using the p-on-n planar junction process. The device has a peak detectivity of 2.5×1011cm·Hz1/2·W-1 and its dark current level has reached the "Rule 07" standard, as shown in Figure9.
Fig.9Dark current density versus wavelength curve of the focal plane array device at the Shanghai Institute of Technical Physics.
Overall, China has overcome core process challenges such as p-on-n plane implantation in VLWIR HgCdTe focal plane array technology, and the device performance has reached the international "Rule 07" benchmark. However, there is still a gap compared with the world's top level. Future research urgently needs to focus on high-quality, low-defect-density VLWIR material epitaxy, advanced doping control, and device passivation processes.
2 VLWIR HgCdTe Key Device Structure and Physics
The preceding section provided an overview of the development history of key device structures for VLWIR HgCdTe detectors. To gain a deeper understanding of the evolutionary logic of the aforementioned technical routes, the following section will analyze in detail the basic principles, core advantages, and inherent limitations of each mainstream structure from the perspective of device physics.
2.1 n-on-p type structure
The n-on-p type HgCdTe detector was the mainstream solution in the early stages of VLWIR technology development. Its development history can be divided into two stages: technology based on intrinsic doping of mercury (Hg) vacancies and technology based on exogenous intrinsic doping.
With the continuous maturation of LPE technology, Hg vacancy intrinsically doped n-on-pHgCdTe infrared detector technology has been widely applied. This technology is relatively simple to implement, typically forming an n-type region on a p-type HgCdTe substrate through ion implantation to construct a pn junction (see Figure10 (a) for a bandgap diagram) . However, this intrinsic doping method has a fundamental drawback: the carrier concentration directly depends on the concentration of Hg vacancies in the epitaxial material, which is difficult to precisely control during growth. This results in a high carrier concentration, leading to a significant increase in the device's diffusion current. More importantly, Hg vacancies introduce deep-level defects into the bandgap of HgCdTe. These defects act as SRH recombination centers, drastically shortening the minority carrier (electron) lifetime, thus causing a sharp increase in the GR current.
In order to overcome the above limitations, the exogenous non-intrinsic doping technology route continues to develop. This technology introduces exogenous impurity atoms such as gold (Au) and copper (Cu) to replace Hg vacancies as p-type dopants. This method can significantly reduce the number of deep-level SRH recombination centers, resulting in a significant increase in minority carrier lifetime, and theoretically, it can reduce the dark current level by the same amount [8].
Although exogenous doping technology has shown significant advantages in reducing dark current, Hg vacancy-type n-on-p technology, with its highly mature process, can achieve very uniform focal plane arrays and maintain high manufacturing yield even with a cutoff wavelength as long as 20 μm [18]. Therefore, in some high-flux scenarios, this technology is often the preferred solution. However, VLWIR detection technology needs to cope with detection environments with extremely low flux and low photon energy. Under such conditions, the target signal intensity is weak, and the dark current of the detector itself and related shot noise will become key factors restricting performance. Therefore, in contrast, intrigued doping technology is more suitable for VLWIR application scenarios. Compared with Hg vacancy intrinsic doping, this technology has been shown to achieve a dark current reduction of up to an order of magnitude. However, since the doping level of the p-type absorption layer is difficult to control at a low level, the dark current level of n-on-p devices is difficult to further reduce.
2.2 p-on-n type homojunction
In p-on-n type HgCdTe devices, the p-type layer is formed by doping with acceptor impurities such as arsenic (As) , while the n-type absorber layer is formed by doping with donor impurities such as indium (In) (see Figure10 (b) for a schematic diagram of the band structure) . Based on the LPE process, In doping is completed during epitaxial growth, and In is activated in HgCdTe without subsequent heat treatment. This process can provide a highly flat epitaxial layer with a uniform Cd composition. This is particularly critical for VLWIR devices, as even small changes in Cd composition can lead to significant changes in the cutoff wavelength.
At higher operating temperatures, the dark current of the device is usually limited by the diffusion current in the balanced n-type absorption layer. In the ideal case, when all metal vacancies are filled and the number of SRH recombination centers is minimized, the diffusion current is mainly determined by the Auger recombination process. Based on this, the advantages of the p-on-n structure are reflected in the following two aspects: First, the carrier concentration of the n-type absorption layer is determined by the In doping concentration and can be controlled at a low level (on the order of 1014 cm-3 to 1015 cm-3) . In addition, since the minority carrier of the n-type absorption layer is a hole, the hole mobility μh is much lower than the electron mobility μe[8], which directly reduces the intensity of the diffusion current; at the same time, the hole lifetime is much greater than the electron lifetime, and the associated GR current is also significantly reduced. Therefore, compared with the Hg vacancy type n-on-p HgCdTe infrared detector, the p-on-n technology route can reduce the dark current by up to two orders of magnitude. For VLWIR HgCdTe infrared detectors that need to cope with the low flux and low photon energy background detection requirements, the p-on-n structure has become the current mainstream technology route.
Fig.10Schematic diagram of n-on-p (a) and p-on-n (b) planar junction structures and energy bands
2.3 P-on-n type bicomponent heterojunction
In traditional p-on-n homojunctions, the p-type and n-type regions have the same material composition. When reverse bias is applied, the high electric field region resides within the narrow bandgap material. In VLWIR homojunctions, the extremely small bandgap Eg superimposed with the electric field E leads to an exponential increase in tunneling current, becoming the dominant dark current mechanism. To address this issue, p-on-n bicomponent heterojunctions were proposed. The core idea is to design a HgCdTe material with a higher Cd composition (i.e., a wider bandgap) as a barrier layer in the region of strongest electric field in the device (i.e., the depletion region of the p-n junction) . This increases the tunneling barrier, fundamentally reducing the tunneling probability and allowing the device to operate under sufficiently high reverse bias. A schematic diagram of the band structure at this point is shown in Figure11.
Although differences in bandgap width can create minority carrier barriers in the band structure of heterojunctions, hindering the transport of photogenerated minority carriers, the flexible bandgap control of binary heterojunctions allows for the reduction or even elimination of the barrier height by adjusting the design parameters. This enables the suppression of tunneling current while maintaining high quantum efficiency. This makes it the mainstream trend in the future development of VLWIR HgCdTe detector structures internationally.
Fig.11Schematic diagram of p-on-n binary heterojunction structure and energy band structure.
2.4 Non-equilibrium operating mode and fully depleted structure
The core idea of non-equilibrium operating mode is to reduce the carrier concentration by placing the carriers in the material in a depleted state as much as possible, thereby reducing the dark current [19]. Taking the p+-υ-n+ type structure as an example, by introducing a wide-bandgap contact layer p + and a lightly doped intrinsic absorption regionυ, the supply of holes entering the absorption region under reverse bias can be effectively reduced. In order to maintain charge neutrality, the electron concentration is also reduced to a level close to that of non-intrinsic doping, thereby suppressing Auger recombination process of the device.
If the doping-thickness product of the absorption layer is sufficiently small, the absorption layer can be completely depleted by applying a reverse bias to the detector, thereby further reducing the diffusion current. The band structure in this case is shown in Figure12. In this ideal situation, the final performance of the device is determined by SRH recombination, which is related to material defects, rather than Auger recombination. If the GR current is also sufficiently low, the detector current is ultimately determined by the background blackbody radiation and the detector quantum efficiency. However, achieving full depletion operation depends on applying a sufficiently large reverse bias to establish a strong electric field in the absorption region. For VLWIR detectors withextremely narrow material band gaps Eg, the BBT effect becomes extremely significant under a strong electric field. This significant tunneling current constitutes a new dark current confinement mechanism, greatly offsetting the gain from Auger suppression. Therefore, extending the full depletion approach to the very long waveband still faces significant challenges. However, Teledyne uses a low-doping technology based on MBE (on the order of 1013 cm-3) , and its absorption layer can be completely depleted under appropriate bias, making the cutoff wavelength of the fully depleted structure reach 10.7 μm for the first time, and the dark current is reduced by nearly 400 times compared to the “Rule 07” prediction [20]. Therefore, this technical route still has significant effects and application potential in improving the high-temperature performance of long-wavelength devices.
Fig.12Schematic diagram of the fully depleted structure and energy band.
3 Key Challenges and Technology Outlook
3.1 Physical Challenges of Advanced Device Structures
The core objective of VLWIR HgCdTe focal plane array technology has always been to suppress the high dark current caused by the narrow bandgap, thereby improving various performance indicators of VLWIR detectors, such as shot noise, detectivity, and dynamic range. Technological advancements have shown that, compared to n-on-p structures, p-on-n structures can significantly improve junction impedance and suppress dark current, while the use of two-component heterojunctions can further optimize performance. To achieve high-performance, large-scale, andhigh-density very long-wavelength focal plane arrays in the future, breakthroughs in advanced heterojunction technology are urgently needed, along with actively addressing the following challenges:
First, the core challenges lie in the bandgap engineering and device physics control of heterojunctions. As mentioned earlier, while introducing a high-concentration, wide-bandgap layer into a heterojunction is an effective means of suppressing tunneling current, the difference in bandgap width leads to an increase in the valence band barrier near the junction. This barrier hinders the effective collection of photogenerated minority carriers, directly resulting in a decrease in quantum efficiency. If the wide-bandgap layer is too thin, the pn junction falls into the absorption layer, making it impossible to effectively suppress tunneling current. Therefore, the primary challenge in heterojunction device design is to precisely control the thickness of the high-concentration layer and the p-type doping, so that the positions of the compositional heterojunction and the pn junction are matched, achieving precise tuning of the space charge region bandgap, thereby obtaining high quantum efficiency while suppressing BBT current.
Secondly, the dark current mechanism related to defects has become a new performance bottleneck. After the diffusion current and interband tunneling current are effectively suppressed, the GR current and TAT current, dominated by material defects, become particularly prominent. Dislocations in the heterojunction material within the junction region and distortions caused by As doping both induce deep-level defects, becoming the main sources of GR and TAT currents. Furthermore, mesa etching processes can eliminate tunneling and crosstalk problems caused by lateral electric fields, but they expose sensitive narrow bandgap material sidewalls. If passivation is not ideal, leakage channels formed by surface states and Te dangling bonds will introduce huge surface leakage currents. Therefore, a deep understanding of defect mechanisms and the development of high-quality passivation processes are essential.
Furthermore, the control of the intrinsic properties of the material requires extremely high precision. The absorption coefficient α of mercury cadmium telluride is closely related to the energy E of the incident photon and its band gap Eg, and this relationship can be approximated as follows:
αexpβE-Eg1/2EEg
(1)
The lower the photon energy, the longer the corresponding wavelength, and the smaller the absorption coefficient α. This means that very long-wave infrared photons penetrate deeper, requiring a thicker absorption layer for effective absorption. This places higher demands on the control of defect density within the material. Furthermore, when the cutoff wavelength of HgCdTe extends above16 μm, the extremely low Cd composition (x≈0.2) value makes the cutoff wavelength extremely sensitive to compositional uniformity; a compositional fluctuation of 0.001 can cause a cutoff wavelength shift of approximately 0.4 μm and a several-fold change in dark current. This poses a significant challenge to the uniformity and accuracy of large-area epitaxial growth.
3.2 Core Materials and Processes: Selection of Epitaxial Technology
In selecting epitaxial technology for VLWIR mercury cadmium telluride detectors and based on cadmium zinc telluride (CdZnTe) substrates, LPE and MBE show different technical focuses. The core advantage of LPE technology lies in its high process maturity, which is suitable for fabricating high-performance homojunction devices. The material grown by this method has excellent crystal quality and low dislocation density, which provides a solid foundation for VLWIR detectors with low dark current and high uniformity; its planar junction structure has relatively relaxed requirements for surface passivation, and the junction formation technology based on ion implantation of As is very mature. If Hg-rich LPE is used, high plateau activation rate of As doped can also be achieved [18]. However, the limitation of LPE is that when growing complex heterojunctions, severe component interdiffusion is prone to occur between layers, making it difficult to achieve steep interface and precise bandgap design.
The excellence of MBE technology lies in its powerful band engineering capabilities, which enable atomic-level structural control. It is particularly noteworthy that with the continuous maturation of <211>oriented CdZnTe substrate technology, the excellent crystal quality and low defect density it provides provide a key guarantee for growing high-quality MBE epitaxial materials on it, making the intrinsic quality of the material comparable to LPE. This is the cornerstone for MBE technology to meet the development trend of detectors. As mentioned above, the current device structure is evolving from the traditional n-on-p to p-on-n, and further developing into a bicomponent heterojunction with a wide bandgap cap layer to effectively suppress tunneling current. These advanced structures place extremely high demands on the precise control of interface steepness, composition and doping, which is precisely what the non-equilibrium growth mode of MBE excels at. Although the in-situ activation rate of As doping in the traditional MBE under Te-rich conditions is low, pulse doping technology, for example, in the CdTe layer of the HgTe/CdTe structure, can not only achieve efficient in-situ doping without annealing, but also avoid the deep energy level defect problem caused by direct As doping [21].
Looking ahead, the focus of technological development is no longer limited to the growth of the epitaxial layer itself. As the advantages of MBE in fabricating complex bandgap structures become apparent, the challenges shift: for advanced device structures based on mesa junctions fabricated by MBE, achieving efficient and stable sidewall passivation to suppress surface leakage current has become a critical process determining the final performance and even the success or failure of the device. Therefore, from the perspective of the inherent needs of technological evolution, the LPE approach is more mature and reliable in fabricating traditional high-performance homojunction detectors; however, to fundamentally optimize very long-wavelength performance and realize novel heterostructures such as bicomponent heterojunctions or even full depletion, the industry must vigorously develop MBE technology. MBE not only provides the process capability to achieve breakthroughs in bandgap structure design, but its deep integration with high-quality substrates and advanced passivation processes is also an essential path to propelling the performance of HgCdTe detectors to higher levels.
4 Conclusion
This article systematically reviews the development history, core physical mechanisms, and cutting-edge research dynamics of very long-wave infrared (VLWIR) mercury cadmium telluride (HgCdTe) detector technology. To meet the demands of low-throughput applications such as space exploration, HgCdTe detector technology has undergone a clear evolution from early n-on-p structures to the current mainstream high-performance p-on-n structures, successfully bringing the dark current level close to the "Rule 07" benchmark determined by intrinsic Auger recombination of the material. However, facing future applications requiring higher operating temperatures andhigher sensitivity, the simple p-on-n homojunction reveals limitations in suppressing tunneling current and thermal excitation at high temperatures.
In the future, the development of VLWIR HgCdTe technology will focus on the synergistic innovation of device structure and advanced material epitaxial technology. At the device level, advanced architectures, represented by bicomponent heterojunctions, provide a path to fundamentally suppress tunneling current and Auger recombination through ingenious bandgap engineering. However, the realization of these advanced structures is highly dependent on overcoming a series of key challenges such as valence band barriers, interface defects, and surface leakage. At the materials level, technologies such as MBE, with their atomic-level growth control precision, have become core technologies for growing complex heterostructures and achieving precise bandgap control. It is foreseeable that by closely integrating advanced device physics design with high-precision epitaxial growth processes, and continuously optimizing material quality, interface properties, and device passivation technology, the performance of VLWIR HgCdTe focal plane arrays will continue to break through existing limits, expanding humanity's observational horizons in the field of space science.
Fig.1Variation of cutoff wavelength based on Hansen relation with Cd composition and operating temperature.
Fig.2Representative operation of LWIR/VLWIR HgCdTe detectors.
Fig.3Comparison of dark current of LWIR and VLWIR detectors manufactured by AIM using two planar N-on-P technologies [8].
Fig.4Electrical performance trend line of RVS VLWIR detector [11].
Fig.5Teledyne's HgCdTe technology breakthrough node [12].
Fig.6p-on-n bilayer heterojunction structure grown by RVS using MBE technology [13].
Fig.7Comparison of the dark current of the best detectors reported by various institutions with the “Rule 07” and “Rule22” benchmarks [15].
Fig.8SEM images of the focal plane pixel array (left) and pixel passivation film profile (right) of the North China Institute of Optoelectronics [17].
Fig.9Dark current density versus wavelength curve of the focal plane array device at the Shanghai Institute of Technical Physics.
Fig.10Schematic diagram of n-on-p (a) and p-on-n (b) planar junction structures and energy bands
Fig.11Schematic diagram of p-on-n binary heterojunction structure and energy band structure.
Fig.12Schematic diagram of the fully depleted structure and energy band.
Table1Test results of three focal plane array devices with different wavelengths from the Kunming Institute of Physics [16]
Tidrow M Z, Dyer W R. Infrared sensors for ballistic missile defense[J]. Infrared Physics & Technology,2001,42(3-5):333-336.
Rogalski A. Recent progress in infrared detector technologies[J]. Infrared Physics &Technology,2011,54(3):136-154.
Rogalski A. Infrared detectors:status and trends[J]. Progress in Quantum Electronics,2003,27(2-3):59-210.
Rogalski A. Recent progress in third generation infrared detectors[J]. Journal of Modern Optics,2010,57(18):1716-1730.
Gravrand O, De Borniol E, Bisotto S,et al. From LWIR to VLWIR FPAs made with HgCdTe at Defir[C]. SPIE,2006,6361:328-337.
Yang J R. Physics and Technology of HgCdTe Materials[M]. Beijing: China's National Defense Industry Press,2012.
Ziegler J, Eich D, Hanna S,et al. Recent results of two-dimensional LW-and VLW-HgCdTe IR FPAs at AIM[C]. SPIE,2010,7660:1017-1026.
Wollrab R, Bauer A, Bitterlich H,et al. Planar n-on-p HgCdTe FPAs for LWIR and VLWIR Applications[J]. Journal of Electronic Materials,2011,40(8):1618-1623.
Gassmann K U, Eich D, Fick W,et al. Low dark current MCT-based focal plane detector arrays for the LWIR and VLWIR developed at AIM[C]. SPIE,2015,9639:174-182.
Baier N, Cervera C, Gravrand O,et al. Latest developments in long-wavelength and very-long-wavelength infrared detection with p-on-n HgCdTe[J]. Journal of Electronic Materials,2015,44(9):3144-3150.
Gilmore A S, Bangs J, Gerrish A,et al. Advancements in HgCdTe VLWIR materials[C]. SPIE,2005,5783:223-230.
Tennant W E, Arias J M, Bajaj J. HgCdTe at Teledyne[C]. SPIE,2009,7298:1079-1089.
Bratt P R, Johnson S M, Rhiger D R,et al. Historical perspectives on HgCdTe material and device development at Raytheon Vision Systems[C]. SPIE,2009,7298:1044-1078.
Tennant W E, Lee D, Zandian M,et al. MBE HgCdTe technology: A very general solution to IR detection,described by“Rule 07”,a very convenient heuristic[J]. Journal of Electronic Materials,2008,37(9):1406-1410.
Wijewarnasuriya P, Shojaei B, Cante K,et al. Performance of very long wavelength planar P+/n devices[C]. SPIE,2022,12234:1223401.
Li L H, Xiong B J, Yang C W,et al. Research on p-on-n LWIR and VLWIR HgCdTe infrared focal plane detectors technology[J]. Journal of Infrared and Millimeter Waves,2022,41(3):534-539.
Tan Z, Liu S G, Tian Z,et al. Research progress of HgCdTe VLWIR focal plane detectors based on double-layer heterojunction[J]. Infrared,2020,41(4):1-7.
Gravrand O, Mollard L, Largeron C,et al. Study of LWIR and VLWIR Focal Plane Array Developments: Comparison between p-on-n and Different n-on-p Technologies on LPE HgCdTe[J]. Journal of Electronic Materials,2009,38(8):1733-1740.
Ashley T, Elliott C T. Nonequilibrium devices for infrared detection[J]. Electronics Letters,1989,25:54-56.
Lee D, Carmody M, Piquette E,et al. High-operating temperature HgCdTe: A vision for the near future[J]. Journal of Electronic Materials,2016,45(9):4587-4595.
Jung H S, Boieriu P, Grein C H.p-type HgTe/CdTe superlattices for very-long wavelength infrared detectors[J]. Journal of Electronic Materials,2006,35(6):1341-1345.