
Editor in chief:Jun-Hao CHU
International standard number:ISSN 1001-9014
Unified domestic issue:CN 31-1577
Domestic postal code:4-335
- Most Read
- Most Cited
- Most Downloaded
HU Jian-Bo , WANG Xiong , MA Peng-Fei , ZHAO Shao-Hua , YANG Ju-Xin , DAI Guang-Yao , XIE Yuan , ZHU Xiao-Peng , LIU Dong , HOU Xia , BU Ling-Bing , LIU Ji-Qiao , CHEN Wei-Biao
2025, 44(6):819-827. DOI: 10.11972/j.issn.1001-9014.2025.06.001
Abstract:In April 2022, the Atmospheric Environment Monitoring Satellite (DQ-1) was launched with its main payload Aerosol and Carbon Detection Lidar (ACDL). The ACDL is the first spaceborne high-spectral-resolution aerosol detection lidar with great performance in aerosol profile measurement. The accuracy of ACDL was quantified (R2 = 0.924) by comparing the aerosol optical depth (AOD) between ACDL and Aerosol Robotic Network (AERONET). In March 2025, frequent dust events occurred in northern China, generating substantial quantities of dust aerosols. The spatiotemporal distribution characteristics and optical properties of dust aerosols were analyzed. The results indicated that aerosols were mainly concentrated in the troposphere, with the depolarization ratio of 0.19–0.38 and the lidar ratio of 38–60 sr, exhibiting typical optical characteristics of dust. The vertical distribution demonstrates a maximum dust aerosol layer height reaching 5 km, while spatially extending over 1 600 km in horizontal dimension. This study confirms the observational advantages of high-spectral-resolution detection techniques from ACDL in complex aerosol environments, providing important data for atmosphere pollution research.
GUO Rui , LOU Yi , ZHANG Xin-Yuan , GUO Liang , HU Yi-Hua
2025, 44(6):828-839. DOI: 10.11972/j.issn.1001-9014.2025.06.002
Abstract:Reflective tomography LiDAR (RTL) reconstructs target contours by acquiring laser echo projection data, but incomplete angular detection in practice often leads to insufficient projection data. To address this issue, the authors propose a target contour reconstruction method that combines the structural sparsity of projection data with a super-resolution convolutional neural network (SRCNN), based on the principles and technical implementation of RTL. This approach effectively resolves the failure of traditional algorithms when projection data suffers from severe angular deficiency. Different from conventional RTL imaging methods that directly incorporate sparse reconstruction models, the authors first recover full-angle projection data by integrating sparse constraints with SRCNN based on geometry prior of the projection data, followed by standard RTL imaging algorithms to achieve complete target contour reconstruction. To validate the effectiveness of the proposed method, the authors design laser echo projection simulations based on the facet model and conduct field experiments. The results demonstrate that the authors achieve high-quality target contour reconstruction under varying levels of projection data missing conditions.
LI Jian , LI Huan-Tao , WU Hao , CUI Hao
2025, 44(6):840-855. DOI: 10.11972/j.issn.1001-9014.2025.06.003
Abstract:To address the registration challenges caused by cross-source point cloud quality disparities, this paper proposes an improved spherical voxel local shape descriptor (Spherical Voxel Center Descriptor, SVCD) for cross-source point cloud registration. SVCD effectively mitigates density and distribution variations through dual-weighted Local Reference Frame (LRF) computation and spherical voxel segmentation. Its core innovation lies in feature encoding based on the distance from voxel centers to keypoints, enhancing the distinctiveness and robustness of the descriptor. The registration process establishes correspondences via the nearest neighbor similarity ratio and solves the rigid transformation using the singular value decomposition. Experimental results on the 3DCSR and real-world datasets demonstrate that SVCD achieves a registration error as low as 0.004 8, with recall rates of 82.83% and 83.45% (improving baseline performance by 10.24 and 11.16 percentage points, respectively), and the F1-scores are the highest (0.803 and 0.832). In Gaussian noise experiments, SVCD maintains an average recall rate of 76.54%, significantly outperforming comparative methods, validating its strong robustness in complex scenarios. This method provides an effective solution for high-precision cross-source point cloud registration.
FANG Qiang , WANG Hong , HE Guang-Hui , ZHOU Zheng-Yu , CAO Feng-Wei , SONG Qing-He
2025, 44(6):856-864. DOI: 10.11972/j.issn.1001-9014.2025.06.004
Abstract:Spaceborne full-waveform LiDAR, as an advanced remote sensing technology, has been widely applied in various fields due to its ability to record detailed terrain and vegetation information. However, the data from spaceborne full-waveform LiDAR can be affected by factors such as dark current, performance of photodetectors, the surrounding environment of the target being detected, and the background light during the acquisition process. These factors introduce significant noise into the original waveform signals, interfering with the extraction of effective echo information for target inversion analysis. To address the common problem of waveform amplitude reduction in existing classical filtering algorithms, this paper proposes an adaptive filtering compensation method for waveform amplitude. By utilizing the bat algorithm to optimize Gaussian sharpening operator parameters and convolving the Gaussian sharpening operator with the filtered waveform data, waveform compensation is achieved through adaptive iteration to ensure optimal compensation effects. This paper conducts experimental verification on GEDI (Global Ecosystem Dynamics Investigation) echo data, comparing the proposed method with various filtering algorithms. After filtering, the highest peak amplitude was reduced by an average of 9.0077 counts, while the difference between the highest peaks of the waveform after Gaussian sharpening compensation and the original waveform was only 0.0182 counts on average. Moreover, the average signal-to-noise ratio improved from 30.0235 dB to 33.2609 dB, representing a relative increase of 10.78%. The results indicate that this method, in conjunction with filtering methods, can remove noise while retaining more original waveform feature information. This provides more accurate data for further extraction of waveform information for geophysical parameter inversion and target classification and is applicable to a variety of filtering methods.
RAO Zhi-Min , LI Yi-Cheng , LI Yi-Xiu , LIU Jia-Xin , GONG Xin , ZHAO Hu , MAO Jian-Dong
2025, 44(6):865-874. DOI: 10.11972/j.issn.1001-9014.2025.06.005
Abstract:Bioaerosol particles spread widely in the air, and high concentrations of bioaerosols pose a great threat to human health. To achieve early warning and prediction of atmospheric bioaerosol concentration, this paper uses fluorescence lidar as the detection tool. Based on the acquisition of bioaerosol concentration profiles, combined with relevant parameters of the atmospheric environment, particle swarm optimization (PSO) and genetic algorithm (GA) are used to optimize the support vector machine (SVM) to establish a bioaerosol concentration profile prediction model. Using temperature, humidity, PM2.5, PM10, CO2, SO2, NO2, O3, wind speed and other related parameter data as inputs, and bioaerosol concentration profile data as outputs for model training, the prediction model parameter configuration is determined. New atmospheric environment parameters are reintroduced, and the trained model is used to predict the bioaerosol concentration profile, which is compared with the bioaerosol concentration profile detected by fluorescence lidar. At the same time, different algorithms are analyzed to optimize the model''s predicted bioaerosol concentration and its relative error.
WANG Yu-Xuan , SUN Xiao-Bing , TI Ru-Fang , HUANG Hong-Lian , LIU Xiao , YU Hai-Xiao
2025, 44(6):875-886. DOI: 10.11972/j.issn.1001-9014.2025.06.006
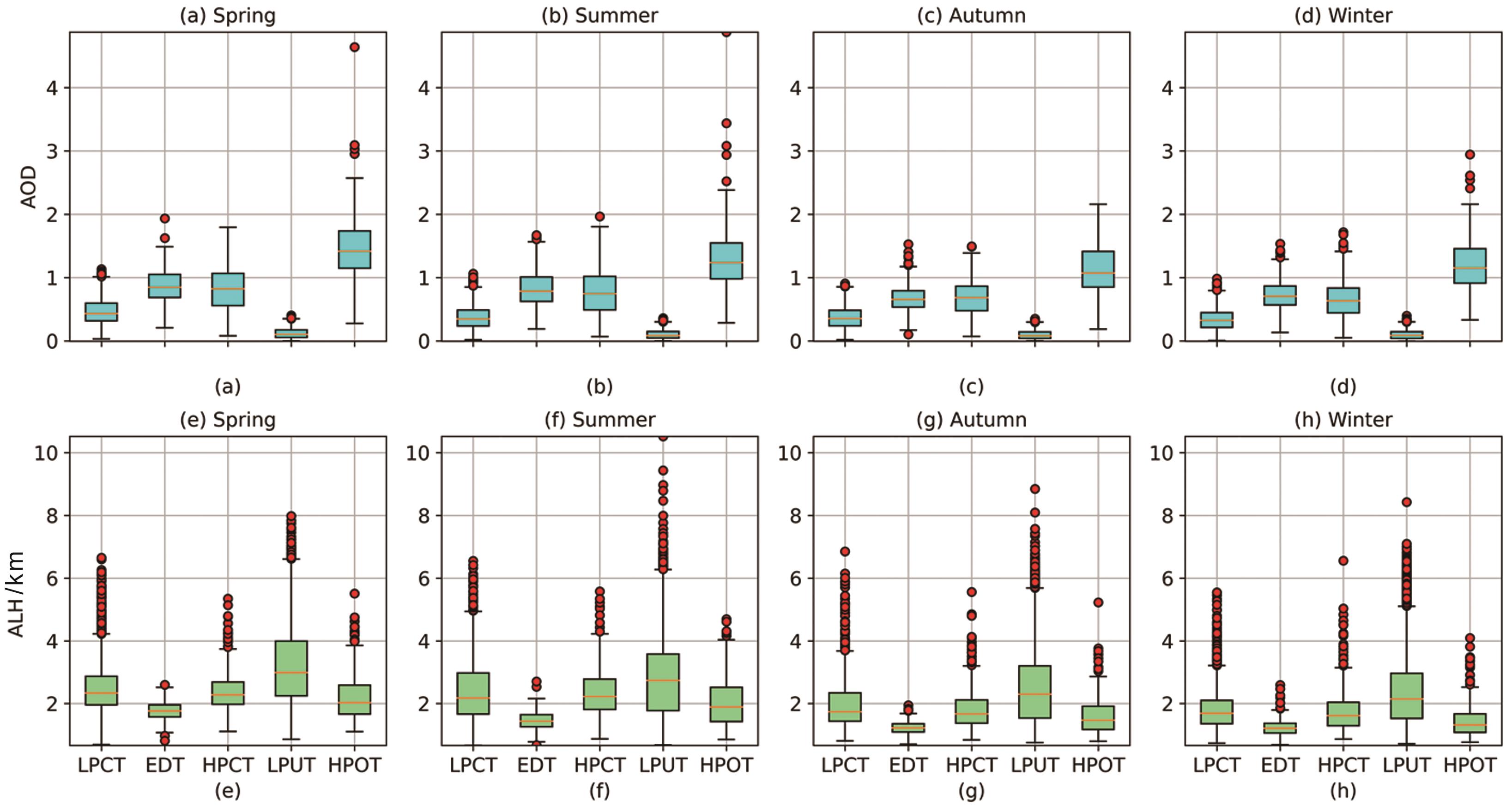
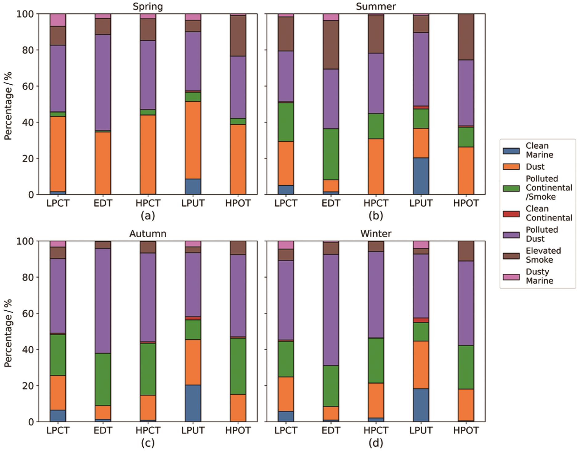
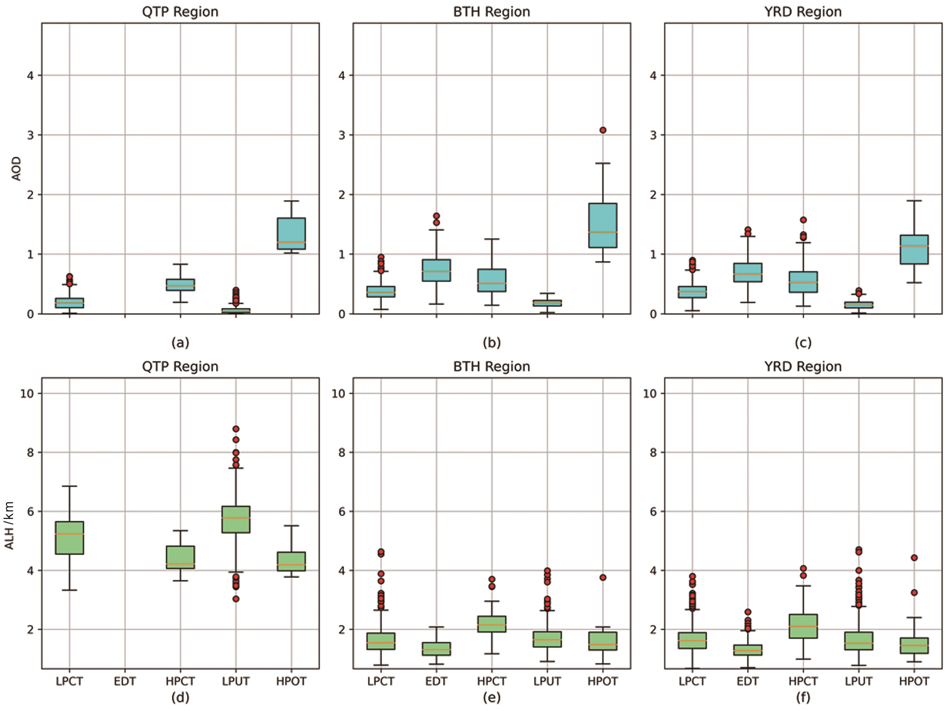
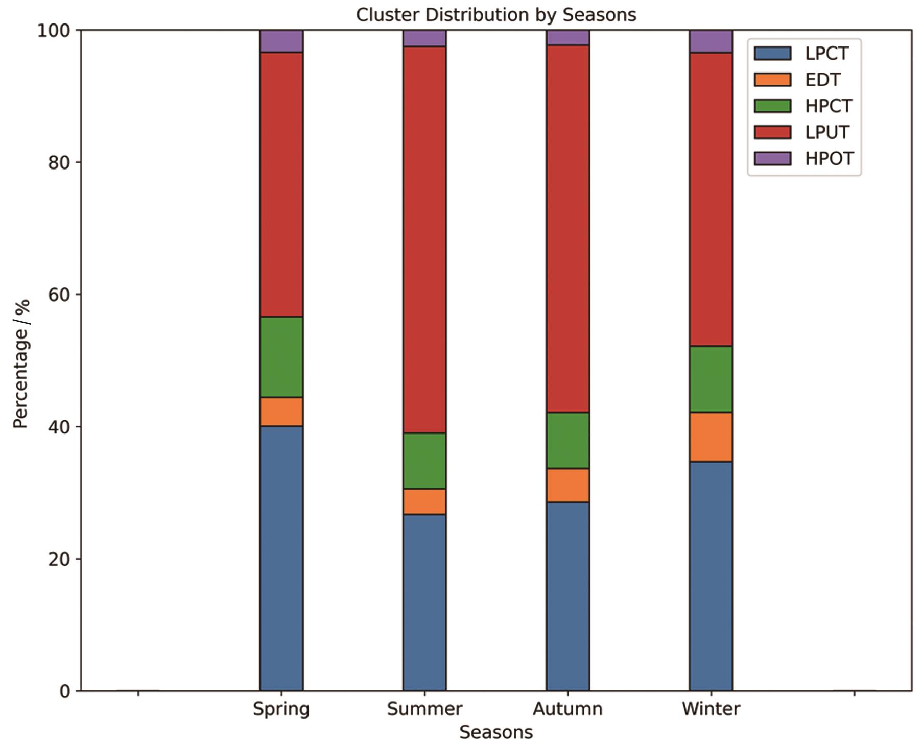
Abstract:The vertical distribution of aerosols plays a critical role in improving the accuracy of aerosol retrieval in satellite remote sensing due to its complexity and spatiotemporal variability. This study investigated the vertical characteristics of aerosols using unsupervised clustering methods, based on CALIOP (Cloud-Aerosol Lidar with Orthogonal Polarization) Level 3 aerosol profile data from 2010 to 2020. Three clustering algorithms—Gaussian Mixture Model (GMM), K-means, and spectral clustering—were evaluated using multiple performance metrics. The profiles of extinction coefficients were clustered into five representative types using the GMM algorithm: low-pollution composite type, high-pollution composite type, exponential decay type, low-pollution uniform type, and high-pollution oscillatory type. The seasonal and regional distributions of these profile types were further analyzed over the Tibetan Plateau, the Beijing-Tianjin-Hebei region, and the Yangtze River Delta. The results show that aerosol vertical profiles exhibit distinct seasonal and regional patterns. These findings provide a basis for improving aerosol profile parameterization and retrieval accuracy in remote sensing applications.
ZHOU Zhi-Biao , YANG Jian , SONG Yue , LUAN Chao , YANG Zhe , LI Song
2025, 44(6):887-895. DOI: 10.11972/j.issn.1001-9014.2025.06.007
Abstract:In September 2018, NASA launched ICESat-2 (Ice, Cloud, and Land Elevation Satellite-2) which carried the unique spaceborne photon-counting lidar system ATLAS (Advanced Topographic Laser Altimeter System) in orbit so far. The lidar has the characteristics of multi-beams, high repetition rate, high ranging accuracy, and has great potential in obtaining high-precision and high-resolution wave parameters. In this paper, an optimized algorithm based on point density with adaptive thresholds is proposed to extract sea surface signal photons, and a method based on sea surface geometry shape to calculate the significant wave height value of sea waves, which proves that the significant wave height value that is consistent with the NASA marine product can be obtained using photon data with a length of 1 km, better than NASA’s 3-7 km wave height data resolution. Significant wave height data are used to generate a wave height space distribution with 0.2°×0.2° grids in the South China Sea, and to analyze the spatial distribution characteristics of significant wave height and the law of its variation with time. It shows that the significant wave height values in the sea areas around the Zhongsha Islands and the Luzon Strait are larger throughout the year, while the values in the Beibu Gulf, the Natuna Islands, the Sulu Sea, and the Celebes Sea are smaller. The changes of wave height and wind speed with time in the South China Sea are highly synchronous, indicating that the wave in this area is mainly driven by wind. The quantitative relationships between the significant wave height and wind speed in nearshore shallow water and offshore deep water are given respectively in combination with the wind speed data of ERA5, and prove that the significant wave height of the deep water is greater than the shallow water under the same wind speed. With the help of ICESat-2 photon-counting lidar, a higher resolution wave height space distribution can be obtained, especially accurate wave heights in nearshore shallow water areas, which can fill the space and time gaps of other observation methods of wave, that is helpful to the optimization of wave numerical model and the oceanographic research.
LU Qing-Kai , YAO Jia-Qi , LI Guo-Yuan , MA Chen , LIU Zhao , XIA Hao-Bin , XU Hao-Jun , WU Jian-Jun
2025, 44(6):896-907. DOI: 10.11972/j.issn.1001-9014.2025.06.008
Abstract:The Terrestrial Ecosystem Carbon Inventory Satellite (TECIS/CM-1) utilizes a combination of multi-beam lidar, multi-spectral cameras, and other passive and active sensors for synergistic observations, enabling high-resolution, comprehensive, and three-dimensional atmospheric monitoring of clouds and aerosols. In recent years, traditional algorithms have faced challenges in terms of vertical layer retrieval accuracy and robustness in complex environments with low signal-to-noise ratios, near-surface observations, and mixed multi-layer structures. To address these issues, this paper proposes TECIS-CASNet, a generalized framework for atmospheric layer recognition and application, designed for the novel multi-beam lidar on the TECIS, leveraging the characteristics of the lidar data and deep learning attention mechanisms. To validate the reliability of this framework, the research team conducted multiple ground-based synchronous observation experiments to systematically evaluate its recognition accuracy. Finally, as a demonstrative application, the study focuses on a typical long-distance dust transport event in the Beijing-Tianjin-Hebei region of China, showcasing the practical application value of the framework. The results indicate that the TECIS-CASNet framework achieves high cloud-aerosol recognition accuracy, reaching 98.41%, and is capable of reducing misidentification and missed detection in complex environments, including low signal-to-noise ratios, near-surface layers, and multi-layer mixed structures. The absolute accuracy of aerosol optical depth retrieval is 0.01, with an overall accuracy of 98%. This paper, centered around the TECIS-CASNet framework, provides significant insights for lidar satellite atmospheric remote sensing data processing and environmental monitoring applications.
ZHOU Wen-Xin , ZHOU Si-Han , HAN Qi-Jin , LUAN Chao , WANG Heng , ZHAO Pu-Fan , LI Song
2025, 44(6):908-919. DOI: 10.11972/j.issn.1001-9014.2025.06.009
Abstract:Satellite laser altimetry technology enables the acquisition of accurate three-dimensional coordinates of ground targets, serving as a high-precision method for Earth observation. Laser altimetry data have been widely applied in areas such as terrain mapping, polar region monitoring, and forestry surveys. The terrain profile matching over natural surfaces aligns the measured terrain profiles from laser altimeters with reference terrain data to determine the positioning errors of laser altimetry measurements. This approach is currently one of the most commonly used methods for the on-orbit geometric calibration and accuracy validation of laser altimeters. However, the performance of terrain matching is influenced by various factors, including surface relief, along-track length of laser altimetry data, and the spacing of laser footprints. Related research is still in its early stages. This paper focuses on two key factors affecting terrain matching: the along-track length of the laser data and the spacing of laser footprints. Using the ICESat-2 satellite, which provides the highest observation density among current missions, we extracted and downsampled its measurement data to construct a series of laser altimetry datasets. Extensive experiments were conducted over regions in North America. Based on statistical analysis of the experimental results, this study quantifies the relationship between terrain matching uncertainty, laser data track length, and footprint spacing.
HUANG Jia-Peng , FAN Qing-Nan , ZHANG Yue
2025, 44(6):920-933. DOI: 10.11972/j.issn.1001-9014.2025.06.010
Abstract:Accurate estimation of understory terrain has significant scientific importance for maintaining ecosystem balance and biodiversity conservation. Addressing the issue of inadequate representation of spatial heterogeneity when traditional forest topographic inversion methods consider the entire forest as the inversion unit, this study proposes a differentiated modeling approach to forest types based on refined land cover classification. Taking Puerto Rico and Maryland as study areas, a multi-dimensional feature system is constructed by integrating multi-source remote sensing data: ICESat-2 spaceborne LiDAR is used to obtain benchmark values for understory terrain, topographic factors such as slope and aspect are extracted based on SRTM data, and vegetation cover characteristics are analyzed using Landsat-8 multispectral imagery. This study incorporates forest type as a classification modeling condition and applies the random forest algorithm to build differentiated topographic inversion models. Experimental results indicate that, compared to traditional whole-area modeling methods (RMSE=5.06 m), forest type-based classification modeling significantly improves the accuracy of understory terrain estimation (RMSE=2.94 m), validating the effectiveness of spatial heterogeneity modeling. Further sensitivity analysis reveals that canopy structure parameters (with RMSE variation reaching 4.11 m) exert a stronger regulatory effect on estimation accuracy compared to forest cover, providing important theoretical support for optimizing remote sensing models of forest topography.
XIN Wen-Hui , HE Yi-Xin , YAO Jie , LI Shi-Chun , GUO Yan , GAO Shan , DI Hui-Ge , HUA Deng-Xin
2025, 44(6):934-942. DOI: 10.11972/j.issn.1001-9014.2025.06.011
Abstract:In order to monitor forest fires, a high-repetition-rate polarization Lidar system was developed based on the light scattering and polarization characteristics of smoke particles generated during fires. The system consists of subsystems for laser emission, optical reception, echo signal acquisition and processing, and scanning control. To meet the demands for large-scale, high-resolution, and rapid forest fire detection, a high-power, high-repetition-rate laser was selected as the probing source, coupled with a high-resolution gimbal for precise scanning. With a Lidar repetition rate of 5 kHz, the system can perform patrol scanning a forest area with a 10 km radius in 48 minutes at an angular resolution of 1°. To address the challenges of echo signal acquisition and cumulative averaging during high-repetition-rate detection, a novel “readout-accumulation-storage” IP (Intellectual Property) architecture was designed, enabling efficient echo signal processing and improving the signal-to-noise ratio. The completed high-repetition-rate polarization Lidar underwent near-field and far-field simulation experiments, with detected signal peaks corresponding to fire locations. When deployed in Yan’an City, the Lidar successfully detected simulated fires at distances of 5.4 km and 8.1 km, validating the system’s effective detection capability.
CHEN Jie , LI Guo-Yuan , CUI Xi-Ming , YAN Deng-Hua , SHEN Dong-Liang , ZHANG Bin , LIU Chang-Ru , ZHOU Xiao-Qing , YUAN De-Bao
2025, 44(6):943-953. DOI: 10.11972/j.issn.1001-9014.2025.06.012
Abstract:GF-7 satellite is equipped with China''s first operational earth observation laser altimeter and sub-meter optical stereo camera. High-precision laser altimetry data and sub-meter-level optical imagery data enable 1:10,000-scale stereoscopic mapping without ground control points, offering unique application advantages in large-scale spatial infrastructure construction for digital twin water resources management and water level monitoring of lakes and reservoirs. In the study, Miyun Reservoir is chosen as the main research area. The GF-7 laser altimetry data and stereo image are used to extract the reservoir water level and the surrounding digital surface model (DSM), and the application practice analysis is conducted. The results show that the absolute error of reservoir water level extracted based on laser altimetry data is less than 0.15 m, which is equivalent to the accuracy of the same type of foreign data. Based on the digital surface model, the water surface range prediction result F1 is higher than 0.85, and the water volume change monitoring error is less than 3%, which can meet the requirements of related hydrological analysis applications. These conclusions provide valuable reference for promoting the application of domestic GF-7 satellite laser altimetry and stereo image data in water conservancy, and better assisting the construction of basin level digital twin water conservancy.
LIANG Zhuan-Xin , LAI Xu-Dong , YAN Yi-Tian
2025, 44(6):954-962. DOI: 10.11972/j.issn.1001-9014.2025.06.013
Abstract:Semantic segmentation of airborne point clouds provides essential data support for downstream applications. Fully supervised deep learning methods typically rely on large amounts of annotated data, while some weakly supervised approaches struggle to learn representative features effectively due to the randomness in label selection. To address these challenges, a label-efficient semantic segmentation method is proposed, which integrates an active learning strategy to progressively update the training set by actively selecting the most informative points based on information entropy in each learning cycle. Experimental results on the LASDU and H3D datasets show that, with only 0.5% and 0.1% labeled data, the proposed method outperforms existing approaches in segmentation accuracy, demonstrating its efficiency in weakly supervised conditions.
SHEN Zhen-Min , ZHENG Yong-Chao , SHANG Wei-Dong , LIU Hui , YANG Song , ZHANG Jing-Hao , SUN Qian , LEI Zi-Ang
2025, 44(6):963-972. DOI: 10.11972/j.issn.1001-9014.2025.06.014
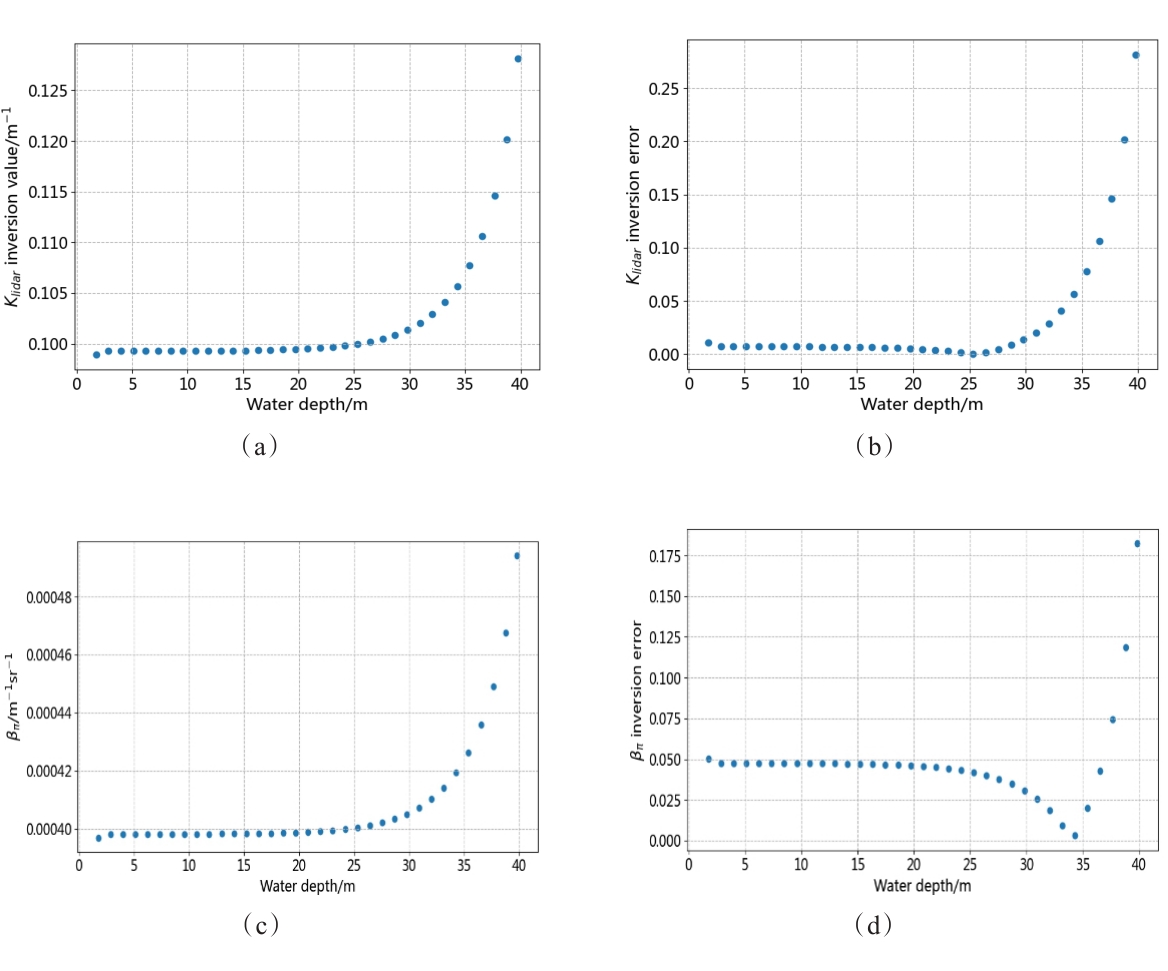
Abstract:Based on the flight test echo data obtained by self-developed airborne dual-frequency ocean profile LiDAR, the bathymetric error caused by wave refraction and water scattering was analyzed, and the correction method was proposed based on the combination of Genetic Algorithm (GA) and Levenberg-Marquarelt (LM) algorithm. The theoretical analysis shows that compared with the signal LM algorithm, this wave refraction correction method reduces the Root Mean Square Error (RMSE) of the inversion of sea wave profile by about 50%. The inversion method of water body optical parameters based on the seawater profile backscattering part of the measured echo signal was researched, and the errors and influencing factors introduced in the inversion of water optical parameters based on the Fernald backward iterative integration method were theoretically analyzed. It is found that when the estimated value of the “particle laser radar ratio” deviates by a% from the true value compared to –a%, the errors in the inversion of water body diffuse attenuation coefficient and 180° volume scattering coefficient are smaller.
ZHAO Si-Si , ZHANG Jing-Hao , LI Tong , ZHENG Guo-Xian , ZHENG Yong-Chao
2025, 44(6):973-980. DOI: 10.11972/j.issn.1001-9014.2025.06.015
Abstract:Optical detection of space targets is the premise for debris collision avoidance, early warning and active removal, which is considered the basis for the safety protection of spacecraft and the sustainable development of outer space activities. And LIDAR can achieve all-day detection and is an important supplement to passive optical payloads. This paper used detection system based on single photon detector, which had the time and position record function for the arrival signal, to measure the time-position three-dimensional information of the target crossing the field-of-view of the detection system. And the twice Hough transforms were applied to determine the trajectory of the target at low SNR. The experiment results showed that the moved targets could be detected at the condition of SNR<2, and the trajectory could be determined accurately under the condition of bright background and target. This work hopes to provide reference for high sensitive detection of the dim fast target.
GUO Jin-Quan , LI Guo-Yuan , PANG Xiao-Ping , SHEN Dong-Liang , DING Bao-Shuai
2025, 44(6):981-991. DOI: 10.11972/j.issn.1001-9014.2025.06.016
Abstract:Polar regions play a crucial role in the global climate system, serving as indicators and amplifiers of climate change. Their unique geographical environment and climate processes have a significant impact on the Earth system. Laser altimetry technology, with its sub-meter or even centimeter-level measurement accuracy, has received much attention in polar research. In recent years, the number of satellites carrying laser altimetry payloads in China has gradually increased. However, there are few polar studies based on the altimetry data from Chinese satellites. This paper first verifies the polar elevation accuracy of domestic satellite laser altimetry data using reference terrain. The results demonstrate that the laser data from GF-7 and ZY-3 03 satellites achieve accuracies better than 1 meter in polar regions, while the Terrestrial Carbon Monitoring Satellite exhibits an accuracy of approximately 1.2 meters. Subsequently, laser altimetry data is employed to assist in constructing three-dimensional polar terrain from stereo imagery, with the resulting topographic products meeting the cartographic standards for 1:10,000 scale topographic maps, thereby validating the effectiveness of the composite surveying and mapping method in polar regions. Finally, multi-source laser altimetry data is integrated to calculate ice sheet surface elevation changes, revealing the application potential of domestic satellites in polar change monitoring. This study comprehensively evaluates the polar application capabilities of domestic satellite laser altimetry data from multiple perspectives, providing critical references for future large-scale polar research utilizing domestic satellite data.
ZHANG Qing-Fan , XIE Huan , YAN Xiong-Feng , JIN Yan-Min , CHEN Jie , XI Yuan-Ting , XIE Jun , MA Yue-Chao , ZHU Fei-Hu , TONG Xiao-Hua
2025, 44(6):992-1000. DOI: 10.11972/j.issn.1001-9014.2025.06.017
Abstract:A hybrid solid-state LiDAR system specifically designed for detecting rapidly rotating small celestial bodies was introduced. The ranging principle was analyzed and an imaging model was designed based on the characteristics of the fast steering mirrors and the single-photon array detector. To evaluate the performance and stability of the LiDAR system in small celestial body detection, a mapping validation method based on an outdoor terrain model simulating small celestial body features was proposed. The results show that the hybrid solid-state LiDAR system maintains high accuracy under different operating modes and power levels. In the global terrain mapping mode, the resolution was 1 100×1 100, and the imaging time was 0.86 s. The mapping accuracy was 2.86 cm at a distance of 100 m. In the step-scanning imaging mode, the resolution was approximately one-seventh that of the global terrain mapping mode, and the average accuracy reached 3.10 cm at distances ranging from 34 m to 83 m.
WANG Zhang-Jun , ZHUANG Quan-Feng , LI Hui , LI Hao , LIU Dong , CHEN Chao , PAN Xin , CHEN Shuo , LI Chuan-Dong , XUE Bo-Yang , XU Zhi-Jun
2025, 44(6):1001-1012. DOI: 10.11972/j.issn.1001-9014.2025.06.018
Abstract:Aerosol and wind field are critical parameters for studying the marine atmosphere, of which the high-precision measurements are of great significance. To achieve high spatiotemporal resolution observations of atmospheric aerosols and wind fields over the ocean, a shipborne multi-parameter atmospheric lidar has been developed. A detailed description of the structural design, detection principles, technical specifications, and retrieval methodology of the lidar system has been presented first. The lidar system was then calibrated by atmospheric molecular Rayleigh tests and wind field observing comparison tests, for verifying its detection accuracy and characteristics. Towards real applications, the system was deployed aboard the “Luqing Yujiao 16” research vessel during August 2024 for mobile observations in the Yellow and East China Seas. During the aboard experiments, the aerosol optical parameters within the height range of 0-10 km and wind field information of 0-5 km were obtained online. The results show that the aerosol concentrations over the ocean vary significantly in different areas, and the lidar system even captures low-level aerosol layers and low-level clouds. Furthermore, the atmospheric wind speed over the ocean remains lower than 20 m·s-1 at low heights; meanwhile, the height of the boundary layer fluctuates near 1 km; when comparing the time-resolved profiles at typical heights, the aerosol optical parameters, wind speed and wind direction exhibit distinct temporal evolution patterns among different height layers such as 200 m, 500 m and 1 000 m. It is demonstrated that the shipborne multi-parameter atmospheric lidar can perform as an effective tool for accurate, continuous, and online monitoring of the critical atmospheric parameters over the ocean by combining with advanced marine platforms.
LEI Zi-Ang , YANG Song , SHEN Zhen-Min , LI Tong , WANG Zi-Hao , ZHANG Rui-Zhe , ZHANG Jing-Hao , ZHENG Yong-Chao
2025, 44(6):1013-1021. DOI: 10.11972/j.issn.1001-9014.2025.06.019
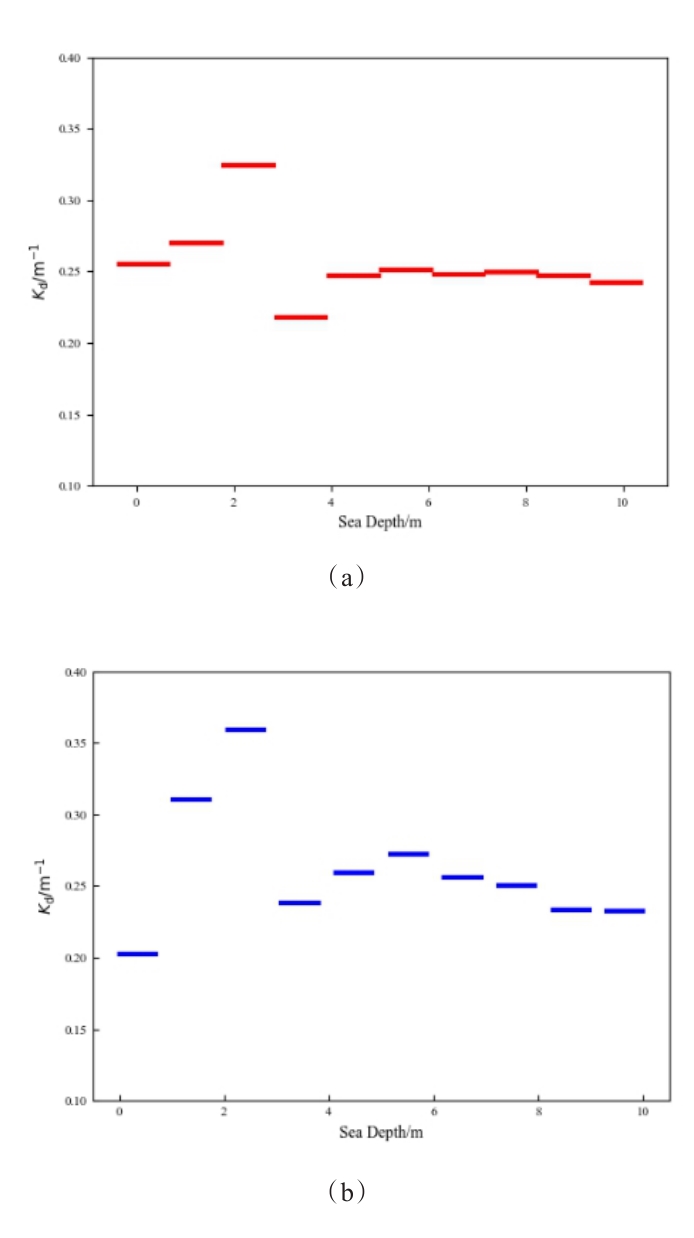
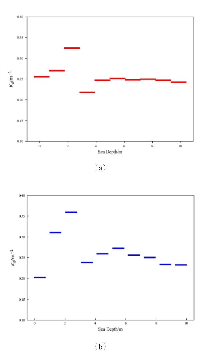
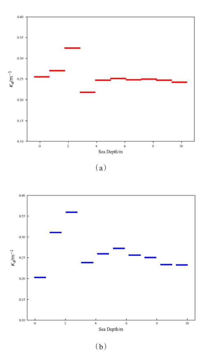
Abstract:The diffuse attenuation coefficient (Kd) is a crucial parameter in ocean optics, representing an apparent optical property influenced by the inherent optical characteristics of seawater and the surrounding light field. It is closely related to factors such as seawater quality and chlorophyll concentration. As an active remote sensing instrument, marine polarized LiDAR emits light in the blue-green wavelength band capable of penetrating seawater, offering all-weather detection potential and possessing a distinct advantage in mapping the vertical distribution of Kd within the ocean. By combining Fernald''s backward iteration and slope approaches, this study proposes a layered inversion method for oceanic profile Kd estimation, utilizing dual-polarization channel signals. The vertical polarization channel is specifically used to suppress surface signals and enhance near-shore oceanic back scatter. Conducted in the Yellow Sea and the East China Sea, the ocean LiDAR was mounted on a marine experimental platform, with a 10-meter water depth used to validate the stratification algorithm. Results show a polarization degree of 0.479 at the sea surface for the dual-polarization channel signal. With a vertical resolution of 1 meter, the stratified inversion of the oceanic profile Kd using dual-polarization channels yields a root-mean-square error of 0.049 compared to actual in-situ measurements, representing a 52.4% improvement in accuracy over non-polarized channel signals. Additionally, the layered inversion algorithm outperforms the traditional Fernald algorithm, demonstrating a 32.4% improvement in precision.
CHEN Bao-Lin , JIN Ge , WANG Chong , CHEN Lian
2025, 44(6):1022-1030. DOI: 10.11972/j.issn.1001-9014.2025.06.020
Abstract:Despite rapid advancements in lidar technology, extremely long-range observation remains a significant challenge. Recently, 2 μm lasers have demonstrated a potential to be applied in CDWL(Coherent Doppler Wind Lidar) system, for its high atmospheric penetration capability through the atmosphere and high potential laser power. In this study, we present a 2 μm balanced detector that consists of a pair of commercial positive-intrinsic-negative (PIN) diodes with a low-noise transimpedance circuit. To meet the high bandwidth requirements, the highspeed transimpedance circuit and bias voltage tuning method were utilized to overcome the large capacitance of PIN diodes. The circuit transfer function, stability analysis and noise calculation have been studied. The detector was co-packaged with a data acquisition module for convenient data transmission and bias voltage control. The characteristics of the detector, including bandwidth, noise and bias voltage influence, are evaluated in laboratory. Results show that the RMS value of the balanced detector background noise is 539 μV and the bandwidths of the two diodes are 110.8 MHz and 110.3 MHz, respectively. The evaluation results show that the balanced detector meets the wind measurement requirements and allows for a 1.45× increase in bandwidth through bias voltage tuning. Our work offers insights into lidar detector design and bandwidth enhancement, providing a valuable reference for researchers and professionals in the field. More importantly, it lays a critical foundation for future ultra-long-range and space-borne 2 μm coherent wind lidar systems by addressing key device-level challenges.
ZHAO Yuan-Qiang , ZHANG Chen , ZHANG Yi-Heng , YANG Jian , WANG Kai-Xin , LI Shao-Hui , ZHOU Hui , MA Yue
2025, 44(6):1031-1040. DOI: 10.11972/j.issn.1001-9014.2025.06.021
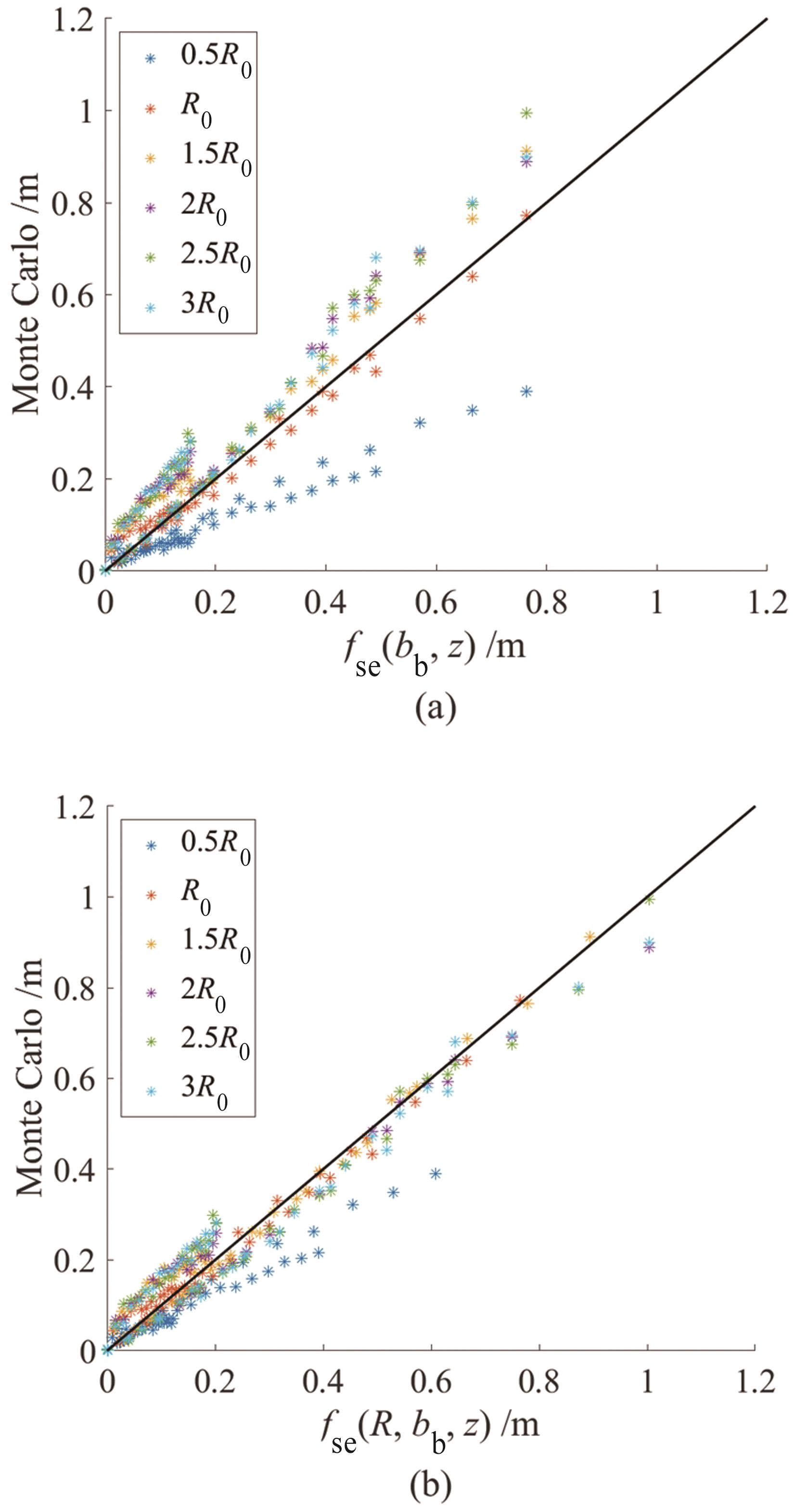
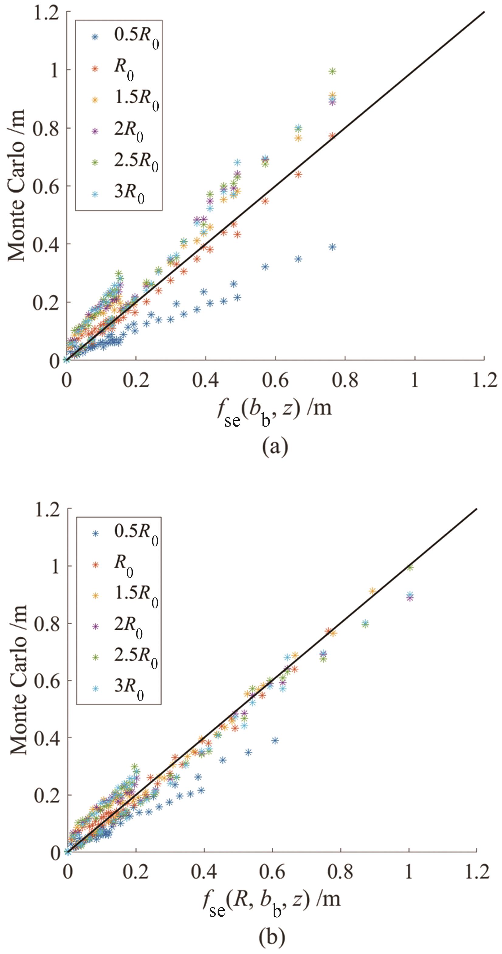
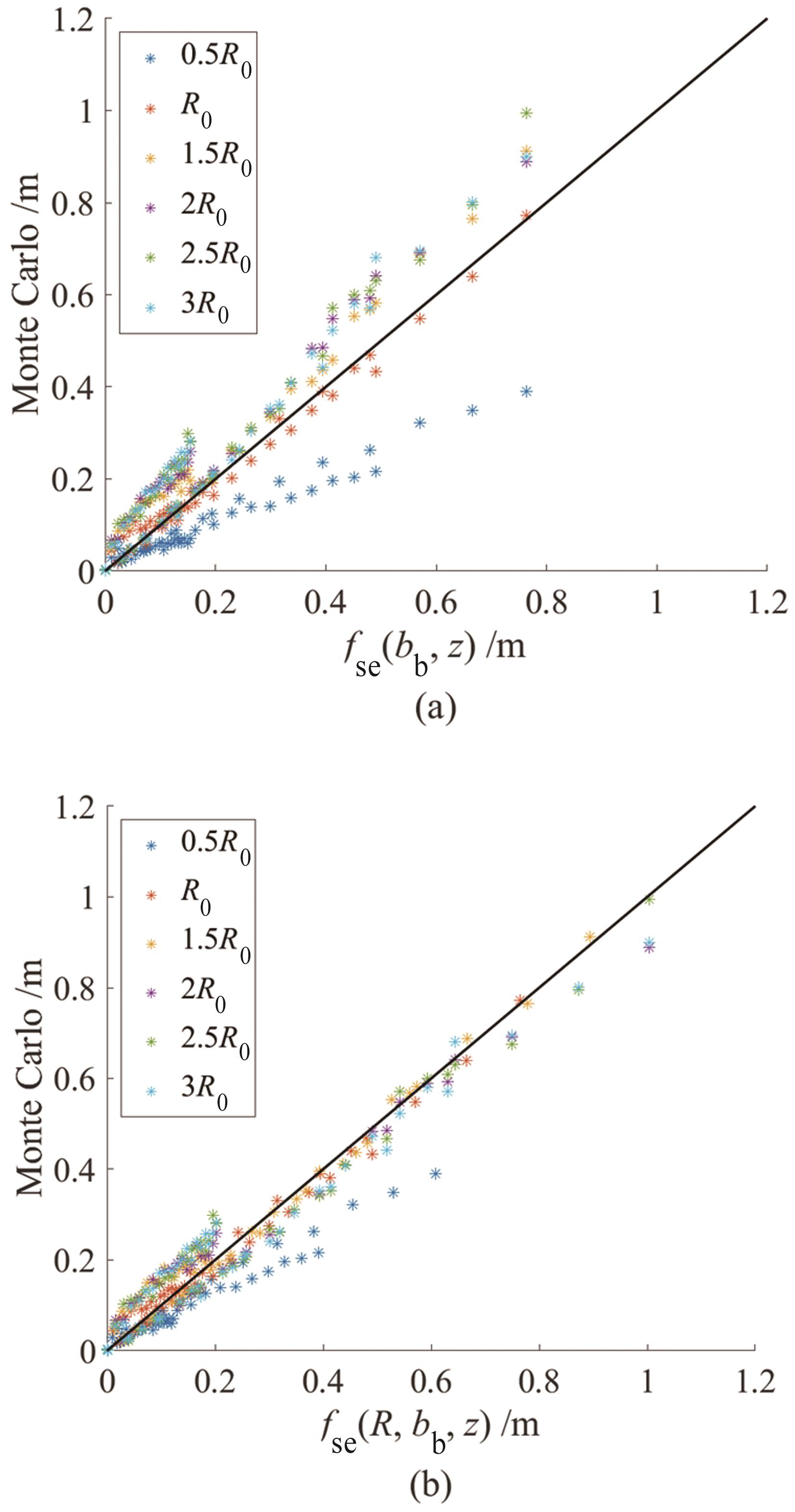
Abstract:The forward scattering error in water bodies is one of the primary error sources in spaceborne laser bathymetry, with individual errors potentially exceeding the depth accuracy requirements of hydrographic surveying standards. However, traditional scattering correction methods developed based on waveform information cannot be applied to the discrete photons from photon-counting lidars. In this study, a Monte Carlo simulation is used to estimate the forward scattering errors in the water column for spaceborne photon-counting lidars and an empirical formula is derived for its rapid error correction. The quantitative analysis on this correction method demonstrates that the rapid scattering error correction is practicable and reliable using the initially corrected bathymetry data of ICESat-2 and the MODIS global water backscattering coefficient at 531 nm as inputs. Further sensitivity analysis indicates that the method performance mainly depends on the uncertainty of water backscattering coefficients. With the backscattering coefficients error constrained within 20%, the empirical formula reduces the scattering error residuals to less than 0.45% of the water depth. Under four typical water conditions, the empirical formula demonstrates an average 72% reduction in water forward scattering errors, effectively eliminating the majority of scattering-induced inaccuracies. The analysis of system parameters indicates that the derived ICESat-2 correction formula can be extended to other spaceborne photon-counting bathymetric lidars through considering the receiver field-of-view radius.

Editor in chief:Jun-Hao CHU
International standard number:ISSN 1001-9014
Unified domestic issue:CN 31-1577
Domestic postal code:4-335